CHAPTER 4 SECTION 4 5 INTEGRATION BY SUBSTITUTION
CHAPTER 4 SECTION 4. 5 INTEGRATION BY SUBSTITUTION
Theorem 4. 12 Antidifferentiation of a Composite Function
Substitution with Indefinite Integration • This is the “backwards” version of the chain rule • Recall … • Then …
Substitution with Indefinite Integration • In general we look at the f(x) and “split” it – into a g(u) and a du/dx • So that …
Substitution with Indefinite Integration • Note the parts of the integral from our example
Substitution with Indefinite Integration • Let u = So, du = (2 x -4)dx
Guidelines for Making a Change of Variables
Theorem 4. 13 The General Power Rule for Integration
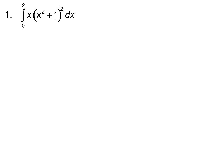
Example 1: The variable of integration must match the variable in the expression. Don’t forget to substitute the value for u back into the problem!
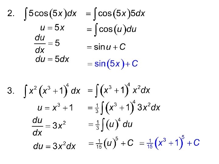
Example 2: One of the clues that we look for is if we can find a function and its derivative in the integrand. The derivative of is Note that this only worked because of the 2 x in the original. Many integrals can not be done by substitution. .
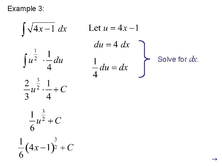
Example 3: Solve for dx.
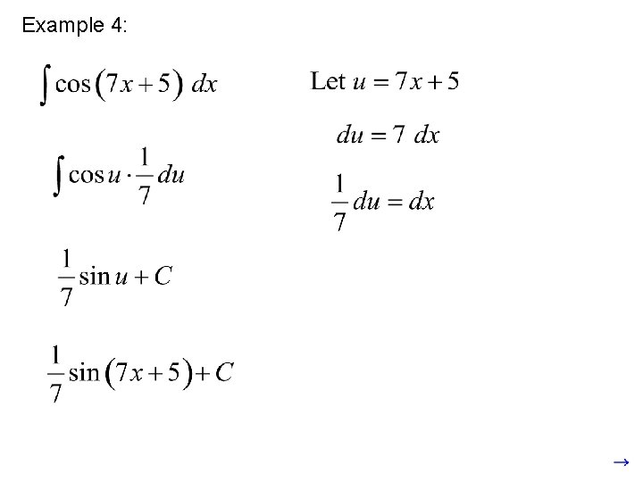
Example 4:
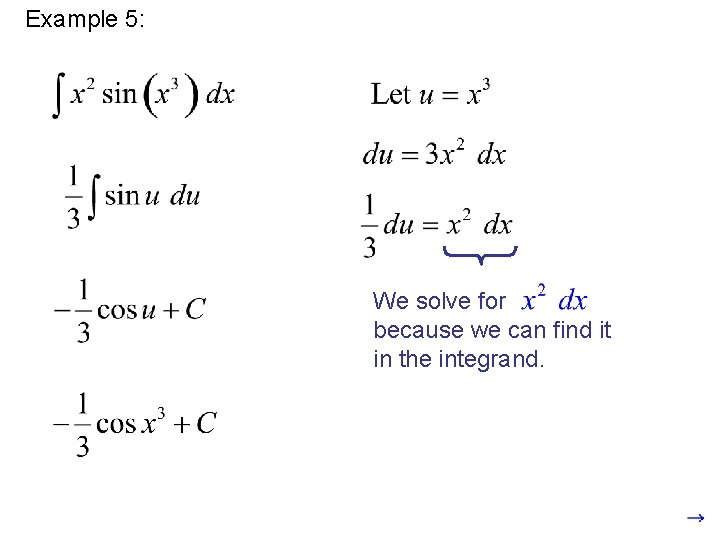
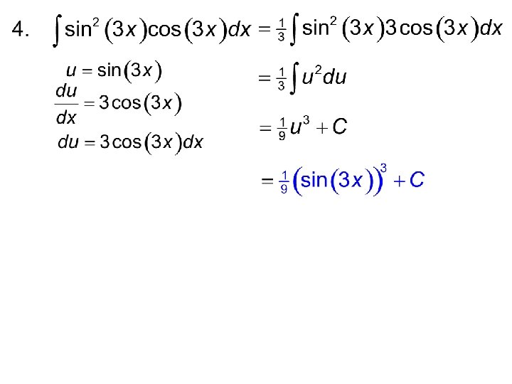
Example 5: We solve for because we can find it in the integrand.
Example 6:
Can You Tell? • Which one needs substitution for integration?
Integration by Substitution
Integration by Substitution
Solve the differential equation
Solve the differential equation
Theorem 4. 14 Change of Variables for Definite Integrals
or you could convert the bound to u’s.
Example 7: new limit The technique is a little different for definite integrals. We can find new limits, and then we don’t have to substitute back.
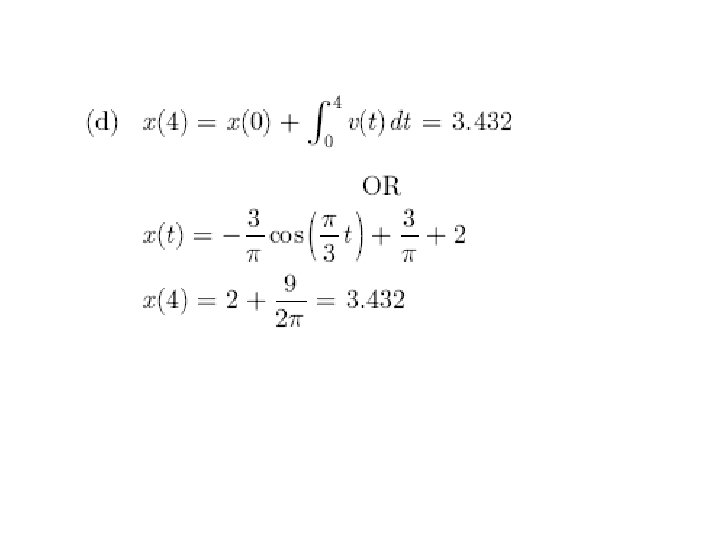
Example 9: Don’t forget to use the new limits.
Theorem 4. 15 Integration of Even and Odd Functions
Even/Odd Functions If f(x) is an even function, then If f(x) is an odd function, then
Even/Odd Functions If f(x) is an even function, then If f(x) is an odd function, then
- Slides: 33