BAB 1 INTEGRAL Standar Kompetensi Menggunakan konsep integral
BAB 1 INTEGRAL
Standar Kompetensi Menggunakan konsep integral dalam pemecahan masalah
Kompetensi Dasar q Memahami konsep integral tak tentu dan integral tentu. q Menghitung integral tak tentu dan integral tentu dari fungsi aljabar dan fungsi trigonometri yang sederhana. q Menggunakan integral tentu untuk menghitung luas daerah di bawah kurva dan volume benda putar.
Integral dan Operasi Pengintegralan Operasi pendiferensialan adalah proses menentukan turunan dari suatu fungsi F′(x) jika fungsi F(x) diketahui. Misalkan F(x) adalah suatu fungsi umum yang bersifat F′(x) = f(x) atau F(x) dapat didiferensialkan sehingga F′(x) = f(x). Dalam hal demikian, maka F(x) dinamakan sebagai himpunan anti-pendiferensialan (anti-turunan) atau himpunan pengintegralan dari fungsi F′(x) = f(x).
Notasi Integral dengan: q F(x) dinamakan fungsi integral umum dan F(x) bersifat F′(x) = f(x) q f(x) disebut fungsi integran q C konstanta real sembarang disebut sebagai konstanta pengintegralan
Integral Tak Tentu dari Fungsi Aljabar
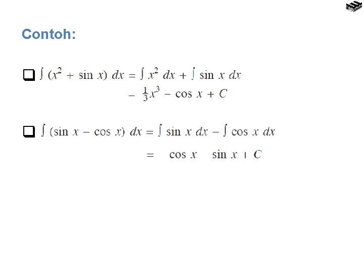
Contoh: q q
Integral Tak Tentu dari Fungsi Trigonometri
Integral Tak Tentu dari Fungsi Trigonometri dalam Variabel Sudut (ax + b)
Contoh: q q
MENGHTUNG LUAS DAERAH DI BIDANG DATAR Metode Pendekatan dengan menggunakan persegi Proses Limit Pendekatan dengan menggunakan persegi panjang
Menghitung Luas Daerah Pendekatan dengan Menggunakan Persegi Ø Banyak persegi satuan yang berada di dalam daerah C ada 36 buah. Ø Banyak persegi satuan yang menutupi daerah C ada 62 buah. Ø Maka, luas daerah: 36 < L < 62
Menghitung Luas Daerah Pendekatan dengan Menggunakan Persegi Panjang Kurva parabola mempunyai persamaan , maka:
q Berdasarkan pengamatan pada Gambar (b), jumlah luas persegi panjang yang terletak di dalam daerah C adalah: q Berdasarkan pengamatan pada Gambar (c), jumlah luas persegi panjang yang terletak di dalam daerah C adalah: Maka, nilai luas L adalah:
Menentukan Luas Daerah dengan Proses Limit Langkah 1 Membagi [a, b] menjadi n buah sub-interval, maka luas masing-masing persegi: Langkah 2 Luas daerah L didekati dengan jumlah semua luas persegi panjang. Jadi, atau jika dinyatakan dalam notasi sigma (∑)
dengan adalah integral tentu atau integral Riemann, dibaca sebagai integral tentu ƒ(x) terhadap x untuk x = a sampai x = b.
Contoh: menyatakan luas daerah tertutup yang dibatasi oleh kurva parabola y = garis x = 2. , , sumbu X, garis x = 1, dan
MENGHITUNG INTEGRAL TENTU Teorema Dasar Integral Kalkulus Notasi Kurung Siku q a, b : Batas bawah dan batas pengintegralan. q Integral tertutup [a, b] : Wilayah pengintegralan.
Integral Tentu Contoh:
Sifat-Sifat Integral Tentu
PENGINTEGRALAN DENGAN RUMUS INTEGRAL SUBTITUSI Bentuk
Langkah 1 Memilih fungsi u = g(x) sehingga menjadi dapat diubah . Langkah 2 Tentukan fungsi integral umum f(u) yang bersifat F′(du) = ƒ(u).
Rumus-Rumus:
Hasil Pengintegralan:
PENGINTEGRALAN DENGAN RUMUS INTEGRAL PARSIAL Berhasil atau tidaknya pengintegralan dengan menggunakan rumus integral parsial ditentukan oleh dua hal berikut:
MENGHITUNG LUAS DAERAH Luas daerah yang dibatasi oleh kurva sumbu X Luas daerah yang dibatasi oleh beberapa kurva
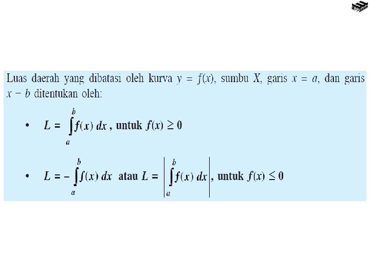
Luas Daerah yang Dibatasi oleh Kurva dengan Sumbu X atau
Luas Daerah yang Dibatasi oleh Beberapa Kurva
MENGHITUNG VOLUME BENDA PUTAR Pasangan Daerah di Bidang Datar dengan Benda Putar
Benda putar adalah suatu benda ruang yang diperoleh dari hasil pemutaran suatu daerah di bidang datar terhadap garis tertentu (sumbu rotasi) MENGHITUNG VOLUME BENDA PUTAR Daerah yang diputar terhadap sumbu X Daerah yang diputar terhadap sumbu Y Daerah antara dua kurva yang diputar terhadap sumbu X Daerah antara dua kurva yang diputar terhadap sumbu Y
Volume Benda Putar dari Daerah yang Diputar terhadap Sumbu X
Volume Benda Putar dari Daerah yang Diputar terhadap Sumbu Y
Volume Benda Putar dari Daerah Antara Dua Kurva yang Diputar terhadap Sumbu X
Volume Benda Putar dari Daerah Antara Dua Kurva yang Diputar terhadap Sumbu Y
- Slides: 36