Passive Devices 3 port network Smatrix of 3





















































- Slides: 53
Passive Devices (3 port network) S-matrix of 3 port networks (1) All ports are matched and network is reciprocal (2) can be lossless? 3 Port Network can not be lossless, reciprocal, and matched at all port
Matched, lossless, and nonreciprocal 3 port network Circulator
Reciprocal, lossless, and only 2 ports matched Port 3 is isolated Reciprocal, matched, and lossy 3 port network Lossy power divider
Passive Devices (4 port network) S-matrix of reciprocal and matched network For lossless, S-matrix must be unitary matrix
Hybrid Coupler(3 d. B Coupler)
Even-Odd Mode Circuit Analysis • If circuit can be decomposed into the superposition of an even-mode excitation and odd-mode excitation • Adding two sets( even & odd) of excitations produces the original excitation
3 -Port Network: Power Divider (1) Reciprocal and Lossless -> some ports mismatched t or Lossless Power Divider: P Port #1 Input Admittance at Input Port for Input Port Matching, B=0 and Ex) 1: 2 divider (with B=0 & Port #1 matched: Reflection at Port #2: Reflection at Port #3: Po rt ) #3 #2
(2)Resistive Divider – All ports are matched - output ports are not isolated
Wilkinson Power Divider( equal power division) Resistive divider -all ports are matched -out-ports are isolated Microstrip Wilkinson Power Divider Equivalent Circuit
Wilkinson Power Divider even mode odd mode Equivalent Circuit in normalized and symmetric form
Wilkinson Power Divider: even mode Voltage on transmission line
Wilkinson Power Divider: odd mode All power from Port #2 is delivered to r/2 resister, and all dissipated No power is delivered to Port #1
Wilkinson Power Divider: input port Wilkinson Power Divider: S-matrix • Symmetric • Not Unitary • All ports are matched • Reciprocal • Lossy • Output ports are isolated
Wilkinson Power Divider: unequal power division Wilkinson Power Divider: N-way Divider
4 -Port Network: Quadrature Hybrid 3 d. B Directional Coupler with Quadrature Phase Difference between two output ports Reciprocal, Lossless, and all ports are matched.
Even-mode
Odd-mode
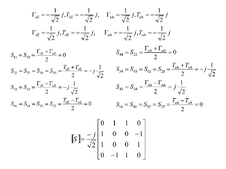
o 4 -Port Network: 180 Hybrid Coupler o 3 d. B Directional Coupler with 180 Phase Difference between two output ports Reciprocal, Lossless, and all ports are matched. Ring hybrid Tapered coupled line hybrid Magic-T
Ring hybrid symmetric Circuit for –port Analysis
–port Analysis Even mode excitation
–port Analysis Odd mode excitation
–port Analysis Even mode excitation
–port Analysis Odd mode excitation
Coupled Line Theory Propagating Modes on Symmetric Coupled Line ground Even Mode Odd Mode
Even Mode Line Characteristics for even mode propagation • Capacitance per unit length w/o dielectrics: • Inductance per unit length: • Capacitance per unit length with dielectrics: • Characteristic Impedance: • Propagation Constant:
Odd Mode Line Characteristics for even mode propagation • Capacitance per unit length w/o dielectrics: • Inductance per unit length: • Capacitance per unit length with dielectrics: • Characteristic Impedance: • Propagation Constant:
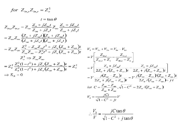
4 -Port Network: Coupled Line Coupler Boundary Condition at each Port
Weakly Coupled Line Coupler Symmetric coupler
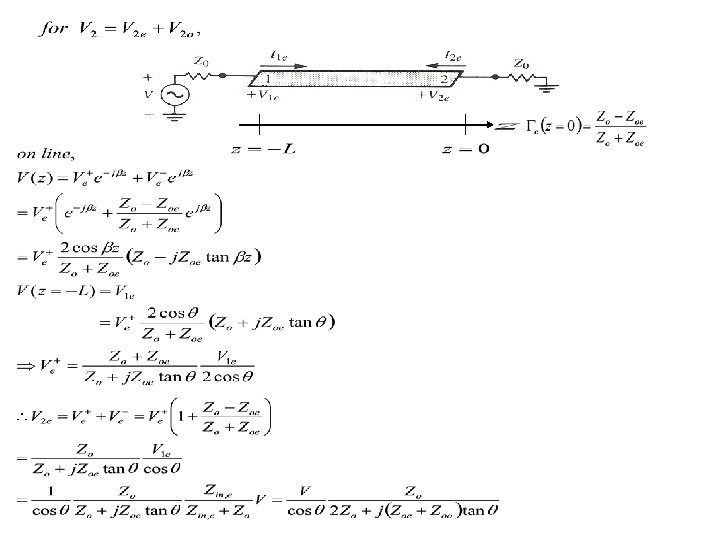
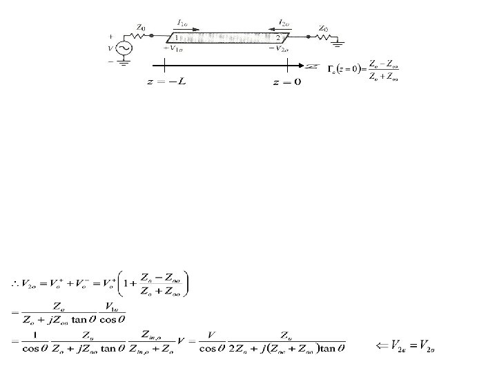
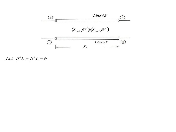
2 -Port Network Using Symmetric Coupled Lines
Voltage and Current Waves on Coupled Lines (1)Voltage and Current Waves on Line #1 (2)Voltage and Current Waves on Line #2
Impedance Matrix Z 11 = Z 22=Z 33= Z 44
Impedance Matrix Z 12=Z 21=Z 34=Z 43
Impedance Matrix Z 13 = Z 31 = Z 24 = Z 42
Impedance Matrix Z 14 = Z 41 = Z 32 = Z 23
Image Impedance and Propagation Constant of 2 -Port Network Image Impedance 2 -Port Propagation Constant
Port 1 Port 2
Port 4 Port 1
Port 4 Port 1
Coupled Line Filter Admittance Inverter
Coupled Line Filter N+1 Section Coupled Line Filter Equivalent Circuit using Admittance Inverters and TL’s
Coupled Line Filter