Fundamentos de Mecnica 4300151 Primeiro semestre de 2020








































- Slides: 40
Fundamentos de Mecânica 4300151 – Primeiro semestre de 2020 9 a Aula Nilberto Medina e Vito Vanin medina@if. usp. br, vanin@if. usp. br 02/04/2020
AVISOS Questionário C 4 sobre Conceitos de Matemática estará aberto até hoje. Leiam o texto e façam as questões e exercícios antes de realizar o teste. Monitoria sobre Mecânica Experimental com Imagens terça e quinta-feira das 12 às 13 e das 18 às 19 horas (ZOOM) Entrega do relatório até 02 de abril às 23: 59 horas via moodle (UPLOAD) 5 a feira a partir das 10 e 6ª-feira a partir das 21 horas Conceitos de Matemática, pelo programa Zoom Leitura cap. 2 HRK seções 2. 5 e 2. 6 cap. 3 HRK seções 3. 1 a 3. 5 Semana que vem: aula e monitoria 2ª, 3ª e 4ª; recesso na 5ª e 6ª 2
Revisão letras que representam variáveis mudas nessas equações, embora muitas letras tenham uso convencional Derivada de uma função f(x) Uma curva é formada por muitas retas Cinemática: posição velocidade Aceleração É a inclinação da pequena reta em torno do 3 Halliday, Resnick e Krane, seção 2 -5 e 2 -6
Movimento unidimensional Derivada de uma função f(x) Exemplo: gráficos da queda livre y(t), v(t) e a(t) Halliday, Resnick e Krane, seção 2 -5 e 2 -6
A equação da reta tangente; aceleração e concavidade
Traçando uma tangente a uma parábola Vamos usar as unidades de base do SI em todas as grandezas deste slide Abaixo, a função Vamos traçar a reta tangente em t = 2 s Em t = 2, portanto a reta tem inclinação = 10 m/s Agora usamos a fórmula e deduzimos ou 2
calcule você a equação de uma reta tangente à parábola Vamos usar as unidades de base do SI em todas as grandezas deste slide Abaixo, a função Traçe a reta tangente em t = 1 s Em t = 1, portanto a reta tem inclinação = Agora usamos a fórmula e deduzimos ou y = 5 + 20 t 3
A concavidade do MUA y Queda livre na Terra com Foguete com aceleração a m/s 2 O O v 0 sempre 0 m/s a = 10 m/s 2 Valores de v 0 Aceleração sempre - g a = 6 m/s 2 -20 +20 m/s -10 m/s +10 m/s 4 a = 2 m/s 2 3
O movimento do problema 1 lista 5 5
O movimento harmônico simples O gráfico em azul representa o movimento de um oscilador harmônico (pode ser uma massa presa numa mola, ou um pêndulo com pequenas oscilações) de período 1 s. No intervalo 0 < t < 0, 5 s, a curva é côncava para baixo aceleração negativa. No intervalo 0, 5 < t < 1 s, a curva é côncava para cima aceleração positiva. 6
Lista 5
A em m/s 2 B em m/s 3 x(t) = 3 t 2 - t 3 5 0 x(m) 0 0. 5 1 1. 5 2 2. 5 3. 5 4 4. 5 -5 -10 -15 -20 3 t(s)
x(m) x(t)=3 t 2 -t 3 5 4 3 2 1 0 -2 -3 -4 -5 -6 -7 -8 -9 -10 -11 -12 -13 -14 -15 -16 -17 0. 5 1 1. 5 2 2. 5 3 3. 5 4 4. 5 Trajetória de 24 m Deslocamento foi de 16 m na direção contrária ao eixo t(s)
Segunda Lei de Newton Halliday, Resnick e Krane, seção 2 -5 e 2 -6
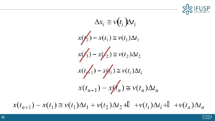
Determinação da posição de um objeto a partir do gráfico de v(t) Antiderivada
Gráfico da posição de um objeto em função do tempo x x 5 x 4 x 3 x 2 D é a variação x 1 O t 1 t 2 t 3 t 4 t 5 t Gráfico de posição por tempo, identificando 5 pontos (ti, xi)
Integral
A integral é a área embaixo da curva x x 5 x 4 x 3 x 2 x 1 O t 1 t 2 t 3 t 4 t 5 t
Exemplo 1. O motorista de um ônibus no trânsito urbano, parado em um farol, começa a acelerar em t = 10 s com aceleração constante e igual a 2, 0 m/s 2 até atingir 36 km/h, mantendo essa velocidade por 15 s, quando avista o farol seguinte fechado e começa a frear, com aceleração constante e de módulo 1, 0 m/s 2 , até parar completamente o veículo. a) Faça um gráfico da velocidade em função do tempo. b) Determine a distância que o veículo percorreu entre as duas paradas. c) Determine o instante em que o veículo se encontrava a 200 m do ponto de partida.
Solução: a) Gráfico v(t)
Gráfico do movimento. O gráfico da figura da direita é igual ao outro, mas nela estão identificados o instante t =3 0 s e um instante com 30 s < tf < 40 s 12 v(m/s) 10 8 8 6 6 4 4 2 2 0 0 10 20 30 t (s) 40 50 t (s) 0 0 10 20 30 40 50 tf O deslocamento entre as duas paradas corresponde à área sob a curva da velocidade. Desde que a figura forma um trapézio, calculamos essa área como
(c) O veículo de fato passou por um ponto a 200 m do ponto de partida, porque o percurso total foi maior que esse, conforme o cálculo do item (b) acima. Ao invés de determinar a equação horária para qualquer t, que será complexa uma vez que o movimento tem aceleração variável, determinamos um intervalo de tempo curto em que o veículo passa por esse ponto e escrevemos uma equação mais detalhada apenas para esse intervalo. O deslocamento até t = 30 s, calculado por uma forma análoga à usada no item (b), é . Juntando com o resultado do item (b), vemos que o veículo está a 200 m do ponto de partida em algum instante compreendido entre t = 30 s e t = 40 s.
Na gráfico à direita na figura 1, demarcamos com linhas tracejadas a região do gráfico cuja área corresponde ao deslocamento entre t = 30 s e um certo instante de tempo tf. O instante de tempo que buscamos corresponde a tf desde que o deslocamento seja de 25 m (obtido pela diferença entre o ponto determinado pela questão, 200 m, e o deslocamento até t = 30 s, 175 m). A equação obtida impondo-se essa condição é tendo sido calculada como a da área de um trapézio (que agora está deitado, a altura está na abscissa). Resolvendo essa equação do 2 o grau, obtemos tf = 32, 9 s 33 s, que é o instante em que o veículo alcançou um ponto a 200 m do ponto de partida.
A 2 A 1 A 3
A 1 + A 3 = 7 (100%) + 14 (pedaços) quadradinhos A 2 = 54 (100%)+24 (pedaços) quadradinhos A 2 = 780 m A 1 + A 3 = 210 m (negativo) Deslocamento total = 570 m A 2 A 1 A 3
x(m) 400 200 Posição do carro
Gráfico anterior, feito em um computador Neste desenho, usamos x(0)=100 m
A 1 = (45+30)x 20/2 = 750 m A 2= 10(-20)/2= -100 m A 3= (-10 -20)x 20/2= -300 A 4= 5(-10)/2= -25 m Atotal= A 1 + A 2 + A 3 + A 4= 325 m A 1 A 4 A 2 A 3
Posição em função do tempo 1000 900 800 700 x(m) 600 500 400 300 200 100 0 0 10 20 30 40 50 tempo(s) 60 70 80 90 100
Gráfico do problema anterior, feito num computador
a) Velocidade da bola b) Altura máxima que a bola atinge após a janela para v = 0 m/s
Gráfico do movimento da bola