Dr Vjekoslav Sajfert FIZIKA za studente smera Industrijsko





















































- Slides: 53
Dr Vjekoslav Sajfert FIZIKA za studente smera Industrijsko inženjerstvo u eksploataciji nafte i gasa Univerzitet u Novom Sadu Tehnički Fakultet "Mihajlo Pupin", Zrenjanin, 2014
REPUBLIKA FRANCUSKA FAKULTET PRIRODNIH NAUKA Prvi semestar Predavanja počinju na Sorboni 3. novembra 1891. Kako su čarobne, kako su divne te reči!. . . Za ono malo para što je sakupila, rublju po rublju, mlada devojka je stekla pravo da od mnogih časova zapisanih u rasporedu sluša one koje sama izabere. Manja ima svoje mesto u dvoranama za laboratorijske vežbe, gde, uz pomoć i savete profesora, može da se služi aparatima, da s uspehom izvodi neke jednostavne oglede. Manja je sada oh, sreće! studentikinja na Fakultetu prirodnih nauka. Ne zove se više Manja, pa čak ni Marija; na indeksu je na francuskom ispisala: " Marie Sklodowska". Međutim, pošto njeni drugovi i drugarice sa fakulteta ne mogu da izgovore teške slogove "Sklodovska", a ova Poljakinja ne dopušta nikome da je zove Marija, ona ostaje nekako tajanstveno anonimna. Često kad u bučnim hodnicima sretnu tu devojku obučenu skromno, a ipak otmeno, ozbiljna lica, tako lepršave i svetle kose, mladići se osvrću i pitaju: "Ko je to? " Odgovor, ako ga dobiju, sasvim je neodređen: "Neka studentkinja. . . Ima nekakvo čudno ime!. . . Uvek sedi u prvom redu na predavanjima iz fizike. . . Prilično je ćutljiva. . . " iz knjige Marija Kiri, napisala Eva Kiri
Marie Sklodowska Curie, hemičar i fizičar, rođena 1867, umrla 1934. Dobitnik je Nobelove nagrade za fiziku 1903, zajedno sa suprugom Pjerom (Pierre) i Bekerelom (Becquerel Henry) za otkriće prirodne radioaktivnosti, i hemiju 1911. godine za otkriće radijuma i polonijuma. Kao prva žena ušla je 1922. godine u parisku Académie de médicine. Bila je prvi direktor Radijumskog instituta u Parizu.
Sadržaj 1. 2. 3. 4. 5. 6. 7. Uvod Mehanika materijalne tačke Mehanika krutog tela Zakoni održanja Gravitacija Struktura čvrstih tela i deformacija Oscilacije
Sadržaj nastavak 8. 9. 10. Talasi Optika Atomska i nuklearna fizika
Kako ćete polagati ispit? n n n n 2 kolokvijuma Svaki kolokvijum po 20 poena – teorija 20 poena; zadaci 20 poena Seminarski rad 10 poena Aktivnost u toku predavanja i vežbi – 10 poena Pismeni deo ispita 30 poena Usmeni deo ispita 20 poena
1. Uvod 1. 1 Fizika, njen značaj i veza sa drugim naukama i tehnikom. n n Fizika je jedna od fundamentalnih prirodnih nauka koja se bavi proučavanjem građe i opštih svojstava materije. Ona izučava opšte oblike kretanja materije i njihove uzajamne transformacije.
• Fizičke pojave se opisuju fizičkim zakonima. n n Neki od ovih zakona su praktično neograničeni, tj. univerzalnog su karaktera osnovni zakoni Zakonu gravitacije pokoravaju sva zemaljska i vanzemaljska tela, a zakonu održanja energije potčinjavaju se svi do sada poznati procesi itd.
• U svom razvoju, fizika se koristila dostignućima drugih nauka, kao što su njena otkrića koristila drugim naukama i tehnici. Većina tehničkih disciplina razvila se iz odgovarajućih oblasti fizike. S druge strane, tehnika je svojim izvanrednim instru mentima i uređajima omogućila dinamičan razvoj fizike.
n n U dvadesetom veku, a naročito posle drugog svetskog rata, fizika je doživela izuzetno dinamičan razvoj. Pojedine oblasti fizike toliko su se razvile da su postale predmet posebnog izučavanja. Svaka od njih je opisana na više hiljada strana, a svake godine, iz više raznih instituta sveta, objave se hiljade novih članaka iz svake od ovih oblasti. Pojavom INTERNET a omogućeno je onima koji se bave naukom da veoma brzo dođu do saznanja o najnovijim otkrićima. Sigurno, da ovakav razvoj fizike dovoljno potvrđuje njen značaj.
1. 2 Fizički zakoni i modeli n Fizički zakoni izražavaju povezanost fizičkih pojava i daju zavisnost koja realno postoji između njenih veličina. Oni omogućavaju da se predvidi tok neke pojave ili promena osobine materije, odnosno da se objasni neka pojava.
Tačnost fizičkih zakona zavisi od tačnosti merenja fizičkih veličina. Koliko se, opet, neka veličina tačno može izmeriti zavisi od razvijenosti tehnike merenja i brižljivosti kojom vršimo merenje. n Fizički zakoni se obično izražavaju u matematičkoj formi kao brojne vrednosti datih fizičkih veličina. Oni, dakle, izražavaju kvantitativne odnose između fizičkih veličina i ne mogu se uzeti kao apsolutno tačni, jer su izmereni sa ograničenim pretpostavkama.
. Prema Hukovom (Hooke Robert, 1635 1703) zakonu elastičnosti, promena dimenzije tela x je proporcionalna intenzitetu sile F koja dejstvuje: n k konstanta proporcionalnosti, koja zavisi od vrste deformacije
Prilikom kretanja sfernog tela kroz fluid, intenzitet sile otpora F je data Stoksovim (Stokes George Gabriel, engleski matematičar i fizičar, 1819 – 1903) zakonom: n n n koeficijent viskoznosti, r poluprečnik tela i v intenzitet njegove brzine prilikom kretanja kroz fluid
(Sir Newton Isaac, engleski fizičar i matematičar, Linkolnšir, 1642 — London, 1727 ) zakon opšte gravitacije n F sila kojom se dva tela masa i rastojanju r uzajamno privlače. je univerzalna gravitaciona konstanta na
1. 3 Fizičke veličine i jedinice, SI sistem jedinica n Fizičke veličine opisuju pojave, procese i svojstva fizičkih tela. Izmeriti neku fizičku veličinu znači uporediti je sa odgovarajućom veličinom iste vrste, koja je izabrana za jednicu mere. Otuda se rezultat merenja izražava brojnom vrednošću i jednicom mere:
Dogovorom je izabrano sedam fizičkih veličina za osnovne jedinice. Jedinice koje se dobijaju preko osnovnih izvedene jedinice. n Skup osnovnih i izvedenih jedinica se naziva sistem jedinica. Na međunarodnoj konferenciji 1960. godine usvojen je međunarodni sistem jedinica (SI). Na tom skupu za osnovne fizičke veličine uvedene su jedinice koje su date u tabeli 1. 3. 1.
n n Osim osnovnih jedinica SI sistema postoje i izvedene jedinice. Razmotrimo neke od njih. Jedinica za brzinu se može dobiti iz poznate definicije brzine:
Jedinicu za ubrzanje ćemo dobiti iz definicije ubrzanja: n Jedinica za silu se može dobiti iz čuvenog drugog Njutnovog zakona:
1. 4 Dimenziona analiza n n Razmotrimo jedan primer. Brzina automobila je 10 m/s. Koliko iznosi ta brzina u km/h? Poznato je da važi 1 km= 1 000 m i 1 h= 3 600 s i tada dobijamo:
Vidimo da se promenom jedinice menja i merni broj fizičke veličine. Poželjno je naći takvu relaciju, koja dozvoljava da se odredi kako se sa promenom osnovne jedinice menja jedinica izvedene fizičke veličine. Ustanovljeno je da ako se osnovna veličina promeni n puta, da se izvedena jedinica menja puta i kažemo da izvedena jedinica ima dimenziju p u odnosu na osnovnu jedinicu.
Osnovne dimenzije SI sistema su date u tabeli 1. 4. 1.
Oznake L, M, T, … predstavljaju generalizovane jedinice odgovarajućih fizičkih veličina. Npr. za L, dimenzija dužine, možemo uzeti m, cm, mm, km, itd. , a za I (dimenzija jačine električne struje) možemo uzeti A, m. A, A itd. n Dimenzija neke fizičke veličine x može se predstaviti na sledeći način:
Primer: Poznato je da važi odnosno , kao i Ako analiziramo odnos jedinica površine, dolazimo do sledećeg zaključka. Dimenzija površine je:
Dimenzije i jedinice još nekoliko fizičkih veličina su date u tabeli 1. 4. 2.
Utvrdimo još npr. dimenziju pritiska:
1. 5 Skalarne i vektorske fizičke veličine. Osnovne operacije sa vektorima. n n n Skalarne fizičke veličine se mogu izraziti potpuno samo brojnom vrednošću i odogovarajućom jedinicom merenja npr. masa, vreme, zapremina, gustina i dr. Vektorske fizičke veličine karakteriše pravac, smer i intenzitet (brojna vrednost). Takve veličine su npr. brzina, ubrzanje, sila, itd. Tenzorske fizičke veličine okarakterisane su sa devet karakteristika. To su npr. tenzor inercije, permitivnosti, tenzor permeabilnosti i sl.
Skalarne fizičke veličine se sabiraju, množe, oduzimaju itd. algebarski, tj. ako imamo dve skalarne fizičke veličine a i b, onda je zbir a+b, razlika a b, proizvod, količnik (b 0). n Dva vektora su jednaka ako su im jednaki intenziteti, pravci i smerovi.
Vektorske fizičke veličine i (vidi sliku 1. 5. 1) možemo sabrati, , metodom paralelograma, što je prikazano na slici 1. 5. 2. n Dovedemo oba vektora u yajedni; ku napaadnu tačku. Obrazujemo paralelogram. n Vektor vektor. predstavlja rezultujući
Sabiranje pomenutih vektora metodom poligona, prikazano na slici 1. 5. 3. n Slika 1. 5. 3
Intenzitet vektora se dobija primenom kosinusne teoreme. Sa slike 1. 5. 4, možemo pisati na osnovu kosinusne teoreme: n Slika 1. 5. 4
Trigonometrijski krug
Konačno napisati izraz koji ćemo koristiti za nalaženje rezultujućeg vektora: n n Na slici 1. 5. 5 je prikazan slučaj oduzimanja vektora Slika 1. 5. 5
Na slici 1. 5. 6 je prikazan slučaj oduzimanja vektora
U slučaju da treba da saberemo ili oduzmemo više vektora mnogo je efikasnije raditi metodom poligona. Razmotrimo sledeći primer. Na slici 1. 5. 7 data su tri vektora i treba naći rezultujući vektor: n Slika 1. 5. 7
Komponente vektora su vektorske veličine, i one se često koriste zbog elegantnijeg i efikasnijeg rada, posebno u koordinatnim sistemima. U x, y koordinatnom sistemu obično vektor razlažemo na dve uzajamno normalne komponente, vidi sliku 1. 5. 9 i 1. 5. 10: n Slika 1. 5. 9 Slika 1. 5. 19
Odgovarajući intenziteti vektora, prema Pitagorinoj teoremi:
Projekcije vektora su skalarne veličine. One mogu biti pozitivne i negativne.
Proizvod vektora i skalara p daje vektor čiji je pravac i smer isti kao i pravac i smer vektora, dok je intenzitet veći p puta(p>0) (slika 1. 5. 13). n Slika 1. 5. 13
Ort – jedinični vektor n Svaki vektor se može prikazati kao proizvod svog intenziteta i jedničnog vektora orta: U slučaju dve dimenzije, x i y, imamo ortove osa i , j vidi sliku 1. 5. 14, ili u slučaju tri dimenzije , i , j, k vidi sliku 1. 5. 15.
n Slika 1. 5. 14 Slika 1. 5. 15
Pomenimo dalje još dve mogućnosti množenja vektora. Skalarni proizvod dva vektora daje skalar. Po definiciji skalarni proizvod vektora je: n Skalarni proizvod takođe možemo izraziti na sledeći način, preko projekcije jednog vektora na drugi:
Vektorski proizvod dva vektora je vektor : n n n Čita se a krst b ili Pravac vektora je normalan i na jedan i na drugi vektor, a smer određujemo pravilom desnog zavrtnja i očigledno je da važi:
Možemo dakle zaključiti da za vektorski proizvod ne važi zakon komutacije, tj. : n Ukoliko je ugao između vektora 90 , tada je intenzitet vektora jednak:
Primer Dokaži da su vektori e i f uzajamno normalni. Vektori i sa dati sa: n Vektori i imaju iste intenzitete i predstavljeni su na slici 1. 5. 18. n Slika 1. 5. 18
Rešenje Po definiciji skalarnog proizvoda imamo:
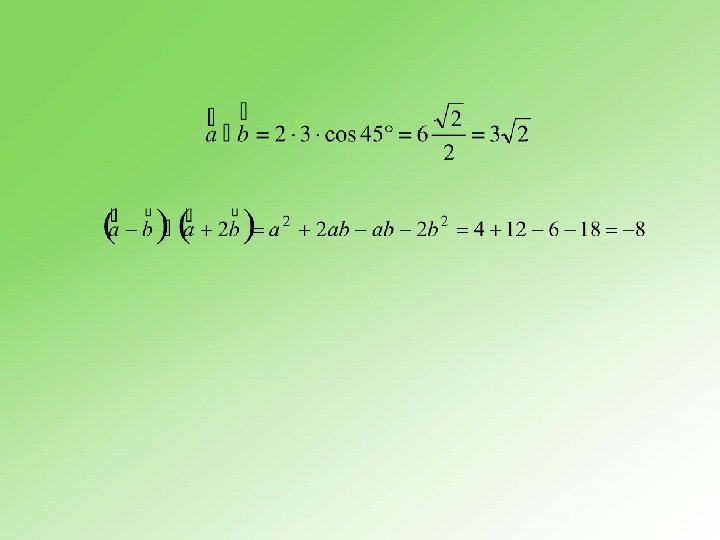
Primer Dati su vektori a i b, čiji su intenziteti i. Ugao između njih n Odredi: a. n b. n