2 nd International School on Nanophotonics and Photovoltaics

























































- Slides: 57
2 nd International School on Nanophotonics and Photovoltaics Zakhadzor 15 -22 September 2010 Superconductivity: approaching the century jubilee Andrey Varlamov Institute of Superconductivity and Innovative Materials (SPIN) CNR, Italy
1911: discovery of superconductivity Discovered by Kamerlingh Onnes in 1911 during first low temperature measurements to liquefy helium Whilst measuring the resistivity of “pure” Hg he noticed that the electrical resistance dropped to zero at 4. 2 K In 1912 he found that the resistive state is restored in a magnetic field or at high transport currents 1913
The superconducting elements Transition temperatures (K) Critical magnetic fields at absolute zero (m. T) Fe Nb (Niobium) (iron) Tc=1 K (at 20 GPa) Tc=9 K Hc=0. 2 T Transition temperatures (K) and critical fields are generally low Metals with the highest conductivities are not superconductors The magnetic 3 d elements are not superconducting. . . or so we thought until 2001
Superconductivity in alloys
1933: Meissner-Ochsenfeld effect Ideal conductor! Ideal diamagnetic!
1935: Brothers London theory H H=0
1937: Superfluidity of liquid He 4 1913
Landau theory of 2 nd order phase transitions Order parameter? Hint: wave function of Bose condensate (complex!) 1913
1950: Ginzburg-Landau Phenomenology Ψ-Theory of Superconductivity Order parameter? Hint: wave function of Bose condensate (complex!) Inserting and using the energy conservation law 2003 How one can describe an inhomogeneous state? One could think about adding. However, electrons are charged, and one has to add a gauge-invariant combination
Thus the Gibbs free energy acquires the form Ginzburg-Landau functional To find distributions of the order parameter Ψ and vector–potential A one has to minimize this functional with respect to these quantities, i. e. calculate variational derivatives and equate them to 0.
Minimizing with respect to A: Maxwell equation The expression for the current indicates that the order parameter has a physical meaning of the wave function of the superconducting condensate.
1950: Isotopic effect
1950: Electron phonon attraction
1957: BCS- Microscopic theory of superconductivity 1972
1957: Discovery of the type II superconductivity 2003
U. Essmann and H. Trauble Max-Planck Institute, Stuttgart Physics Letters 24 A, 526 (1967) Magneto-optical image of Vortex lattice, 2001 P. E. Goa et al. University of Oslo Supercond. Sci. Technol. 14, 729 (2001) Scanning SQUID Microscopy of half-integer vortex, 1996 J. R. Kirtley et al. IBM Thomas J. Watson Research Center Phys. Rev. Lett. 76, 1336 (1996)
1986: Discovery of the High Temperature Superconductivity in Oxides 1987
1987: Nitrogen limit is overpassed YBa 2 Cu 3 O 7 -x: Tc=93 K
MAGLEV: flying train The linear motor car experiment vehicles MLX 01 -01 of Central Japan Railway Company. The technology has the potential to exceed 4000 mph (6437 km/h) if deployed in an evacuated tunnel.
Superconducting RF cavities for colliders
Energy transmission
Transformers for railway power supply
Powerful superconducting magnets
Scientific and industrial NMR facilities 900 MHz superconductive NMR installation. It is used For pharmacological investigations of various bio-macromolecules. Yokohama City University
Medical NMR tomography equipment
Criogenic high frequency filters for wireless communications
2 nd International School on Nanophotonics and Photovoltaics Zakhadzor 15 -22 September 2010 Fluctuation Phenomena in Superconductors Andrey Varlamov Institute of Superconductivity and Innovative Materials (SPIN), CNR, Italy
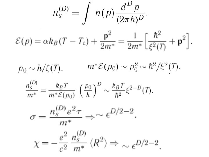
Smearing of the transition 0 D superconductor
In-plane resistance of HTS
Transversal resistance of HTS
Nernst effect in cuprates
Superconducting fluctuations near Tc: qualitative picture
Ginzburg-Landau formalism Fast (fermionic) and slow (bosonic) variables
Quadratic GL approximation
Exact solution for the 0 D superconductor 0 D d ξ(T)
Microscopic theory of fluctuations
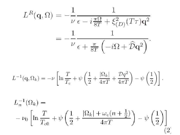
Fluctuation propagator
Diagrammatic presentation of the fluctuation corrections Green function Fluctuation correction the Green function Fluctuation thermodynamical potential
Leading-order fluctuation propagator contributions to the electromagnetic response operator
Aslamazov-Larkin paraconductivity When T-Tc<<Tc When T=0 ~ When T>>Tc = =
Anomalous MT contribution When T-Tc<<Tc ~ When T=0
Density of States Renormalization When T-Tc<<Tc When T=0 Δσ(2)DOS= - 0. 1 e 2/ħ ln(1/ε) -
Diffusion coefficient renormalization When T-Tc<<Tc When T=0 Δσ(2)DOS= - 0. 1 e 2/ħ ln(1/ε)
Exact solution
Asymptotic regimes in the phase diagram
Fluctuation conductivity surface as the function of temperature and magnetic field
Contours of constant fluctuation conductivity.
Temperature dependence of the FC at different fields close to H_{c 2}(0) and comparison to experimental data for thin films of La. SCO with T_{c 0}≈19 K and B_{c 2}(0)≈15 T
Quantum fluctuations near Hc 2(0): qualitative picture Close to Tc: ~ Close to Hc 2(0):
Snapshot visible for times shorter than τQF