VII 1 HilleYosida Theorem VII 1 Definition and

  • Slides: 35
Download presentation
VII. 1 Hille-Yosida Theorem

VII. 1 Hille-Yosida Theorem

VII. 1 Definition and Elementary Properties of maximal monotone operators

VII. 1 Definition and Elementary Properties of maximal monotone operators

Maximal Monotone Let H be a real Hilbert space and let be an unbounded

Maximal Monotone Let H be a real Hilbert space and let be an unbounded linear operator. A is called monotone if A is called maximal monotone if furthermore i. e.

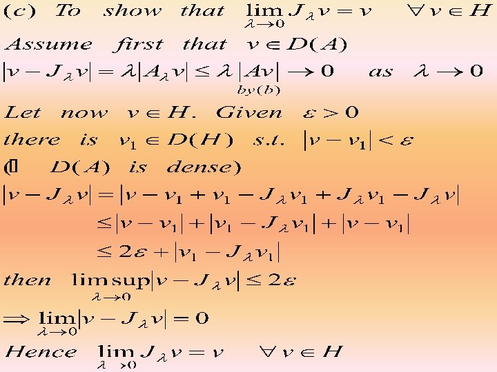
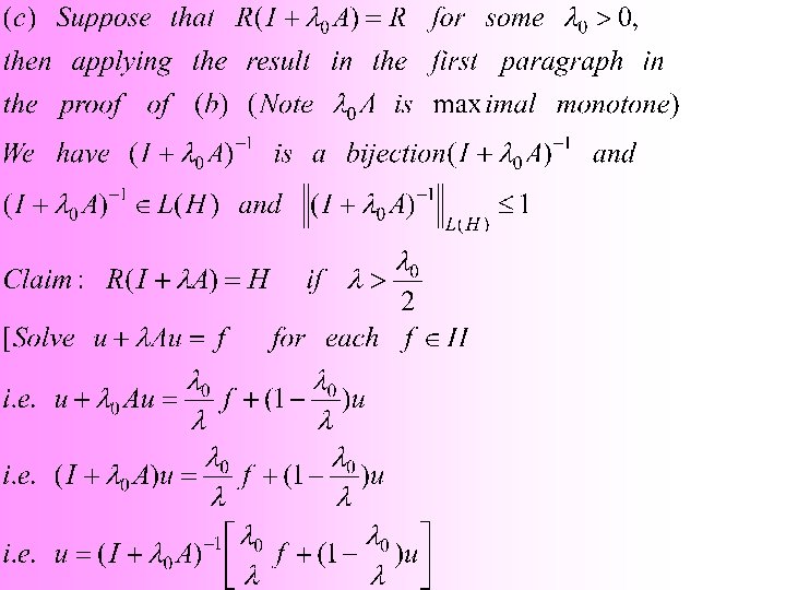
Proposition VII. 1 Let A be maximal monotone. Then (a) D(A) is dense in

Proposition VII. 1 Let A be maximal monotone. Then (a) D(A) is dense in H (b) A is closed. (c) For every is a bijection from D(A) onto H is a bounded operator with

Yosida Regularization of A Let A be maximal monotone, for each let (by Prop.

Yosida Regularization of A Let A be maximal monotone, for each let (by Prop. VII. 1 ) is called a resolvent of A and is called Yosida regularization of A

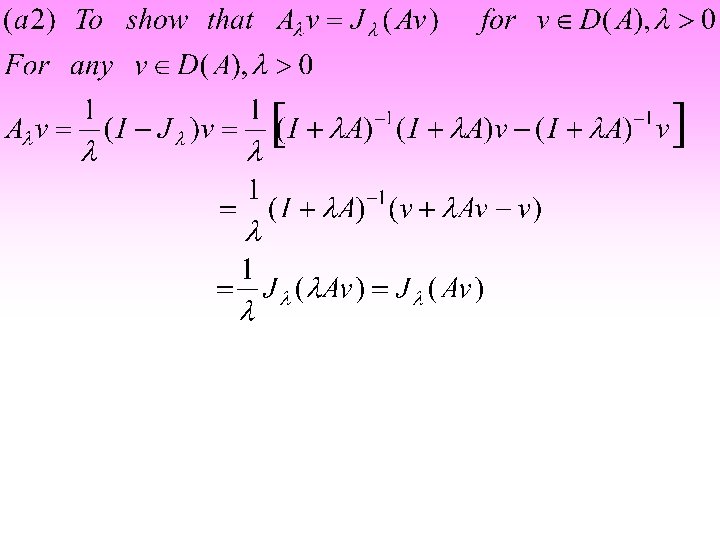
Proposition VII. 2 p. 1 Let A be maximal monotone, Then (a 1) (a

Proposition VII. 2 p. 1 Let A be maximal monotone, Then (a 1) (a 2) (b) (c)

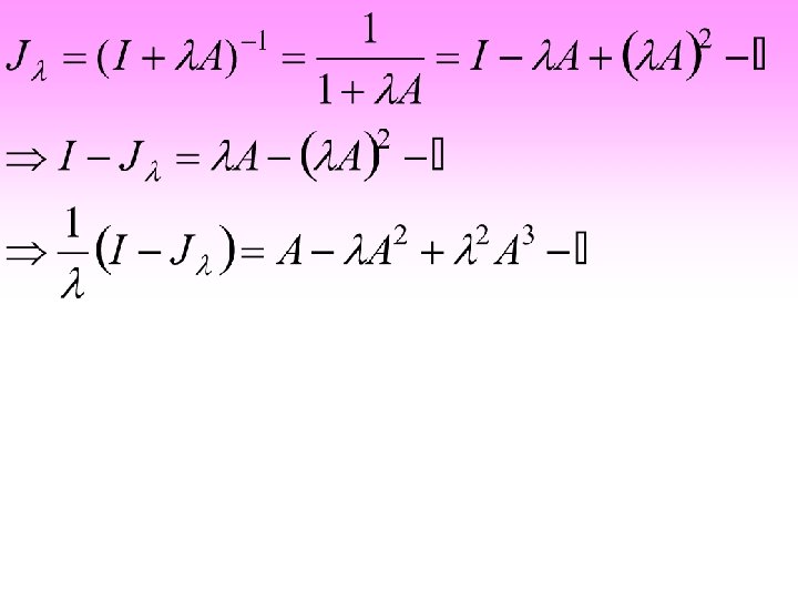
Proposition VII. 2 p. 2 (d) (e) (f)

Proposition VII. 2 p. 2 (d) (e) (f)

VII. 2 Solution of problem of evolution

VII. 2 Solution of problem of evolution

Theorem VII. 3 Cauchy, Lipschitz. Picard Let E be a Banach space and F

Theorem VII. 3 Cauchy, Lipschitz. Picard Let E be a Banach space and F be a mapping From E to E such that then for all there is a unique such that

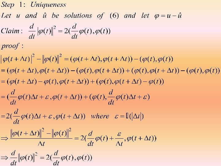
Lemma VII. 1 If is a function satisfing , then the functions and are

Lemma VII. 1 If is a function satisfing , then the functions and are decreasing on

Theorem VII. 4 (Hille-Yosida) p. 1 Let A be a maximal monotone operator in

Theorem VII. 4 (Hille-Yosida) p. 1 Let A be a maximal monotone operator in a Hilbert space H then for all there is a unique s. t.

Theorem VII. 4 (Hille-Yosida) where D(A) is equipped with graph norm i. e. for

Theorem VII. 4 (Hille-Yosida) where D(A) is equipped with graph norm i. e. for Furthermore, and

Lemma VI. 1 (Riesz-Lemma) Let For any fixed , apply Green’s second identity to

Lemma VI. 1 (Riesz-Lemma) Let For any fixed , apply Green’s second identity to u and then let in the domain we have