VELOCIDADE DAS REAES QUMICAS Prof Dr ARNALDO ANTONIO













![Curva típica do consumo de um produto através de mecanismo de primeira ordem [A]o Curva típica do consumo de um produto através de mecanismo de primeira ordem [A]o](https://slidetodoc.com/presentation_image_h2/cedc223ea5ff2d21ef5746950d1c09f4/image-14.jpg)

![[A]t = (a-x) = quantidade de reagente remanescente no tempo t a = quantidade [A]t = (a-x) = quantidade de reagente remanescente no tempo t a = quantidade](https://slidetodoc.com/presentation_image_h2/cedc223ea5ff2d21ef5746950d1c09f4/image-16.jpg)










- Slides: 26
VELOCIDADE DAS REAÇÕES QUÍMICAS Prof. Dr. ARNALDO ANTONIO RODELLA ESALQ/USP
COMO CONHECER E CONTROLAR AS REAÇÕES QUÍMICAS ? H 2 + Cl 2 2 HCl G = - 45, 6 kcal A TERMODIN MICA mostra que a produção de HCl é um processo espontâneo no escuro: H 2 + Cl 2 nada acontece presença de luz: H 2 + Cl 2 explosão
H 2 + Cl 2 G = - 45, 6 kcal HCl Energia de ativação H 2 + Cl 2 G = - 45, 6 kcal HCl
A TERMODIN MICA indica que se a reação ocorre espontaneamente, mas não informa quando isso vai ocorrer O estudo da velocidade com que a reação ocorre é objeto da CINÉTICA QUÍMICA
Velocidade Variação da concentração de um reagente ou de um produto na unidade de tempo Lei de velocidade Equação diferencial que relaciona velocidade de reação com concentração de reagentes Ordem Soma dos expoentes dos termos de concentração da equação de lei de velocidade. Não depende da estequiometria da reação
CH 3 Br + OH- CH 3 OH + Brdx/dt = k (CH 3 Br)(OH-) Reação de segunda ordem (CH 3)3 CBr + OH- (CH 3)3 COH+ Brdx/dt = k ((CH 3)3 CBr) Reação de primeira ordem
2 HI(g) H 2(g) + I 2(g) dx/dt = k (HI)2 Reação de segunda ordem Reações de pseudo-primeira ordem A velocidade depende aproximadamente da concentração de apenas um dos reagentes sob condições especiais, como o excesso de um outro reagente
LEI DE VELOCIDADE DE PRIMEIRA ORDEM tempo 0 tempo t A a (a-x) B 0 x Equação diferencial da lei de velocidade de primeira ordem A velocidade de formação de B em cada instante é proporcional à concentração de reagente remanescente Portanto a velocidade de reação decresce continuamente com o tempo
Integrando:
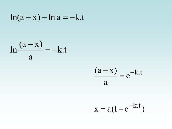
- ln (a-x) = k. t + C quando t = 0 temos que C = - ln a ln (a-x) = - k. t + ln a
Curva típica de formação de um produto através de mecanismo de primeira ordem
Retomando a equação da lei de velocidade de primeira ordem (a-x) = quantidade de reagente remanescente no tempo t = [A]t a = quantidade de inicial de reagente no tempo 0 = [A]o
Curva típica do consumo de um produto através de mecanismo de primeira ordem [A]o
A+B C+D
[A]t = (a-x) = quantidade de reagente remanescente no tempo t a = quantidade inicial de reagente
MÉTODO GRÁFICO PARA DE DETERMINAR A ORDEM DA REAÇÃO k = 0, 0255 min-1
MEIA VIDA t 1/2 Período de tempo necessário para ocorrer metade da reação Período de tempo para consumir de metade dos reagentes x = a/2
k = 0, 0255 min-1
Equação de Arrhenius k = constante de velocidade A = fator pré-exponencial E = energia de ativação R = constante dos gases perfeitos T = temperatura Kelvin
APLICAÇÃO MAIS FREQÜENTE Modelo de primeira ordem na decomposição de materiais orgânicos no solo Limitações: - Não é uma reação química “comportada” - Difícil definir quais compostos estão participando da reação - Depende da atividade microbiológica
EFEITO DA TEMPERATURA SOBRE A DECOMPOSIÇÃO DE SACAROSE NO SOLO
BAGAÇO PALHA
Em ensaio de respirometria 2, 45 g de resíduo com 18, 7 %C é incorporado a 1 kg de solo Massa de carbono incorporada = 2450 x 0, 187 = 458, 2 mg C Massa de CO 2 teoricamente produzida = 1679, 9 mg C orgânico CO 2 Massa de CO 2 evoluída em 58 dias = 785, 9 mg C recalcitrante 458, 2 mg C C mineralizável
PARA QUEM QUISER SABER MAIS: http: //chemed. chem. purdue. edu/genchem/topicreview/index. html Cinética elementar de reação J. L. Lantham Química um tratamento moderno Pimentel & Spratley