Spherical polar coordinates x rsin cos y rsin

  • Slides: 49
Download presentation

球极坐标系中(Spherical polar coordinates) x = rsin cos , y = rsin , z =

球极坐标系中(Spherical polar coordinates) x = rsin cos , y = rsin , z = r cos r 2 = x 2 + y 2 + z 2 微体积元 d = dx dy dz = r 2 sin dr d d

3 对易规则(commutation rules) (5. 8 a) (5. 8 b) (5. 8 c) (5. 9)

3 对易规则(commutation rules) (5. 8 a) (5. 8 b) (5. 8 c) (5. 9) 即 (5. 10)

本征函数: (4. 32) (Pauling & Wilson, Introduction to Quantum Mechanics, Mc. Graw-Hill, New York,

本征函数: (4. 32) (Pauling & Wilson, Introduction to Quantum Mechanics, Mc. Graw-Hill, New York, 1935) Associated Legendre functions l = 0, 1, 2, … (4. 33) w = cos

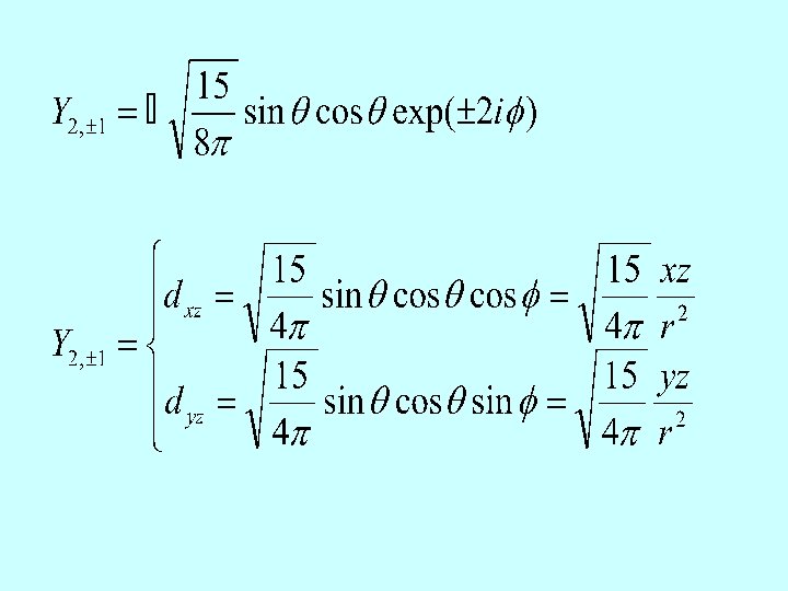
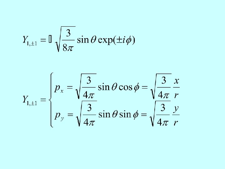
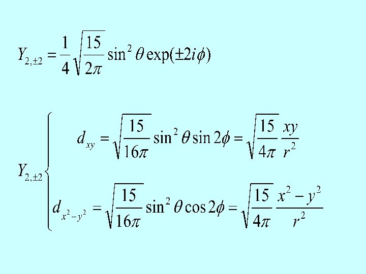
Examples: (4. 34)

Examples: (4. 34)

4. 2 角动量阶梯算符方法 (The Ladder-operator method for angular momentum) 1 角动量升降算符 (raising and lowering

4. 2 角动量阶梯算符方法 (The Ladder-operator method for angular momentum) 1 角动量升降算符 (raising and lowering operators) 升算符 (4. 38) 降算符 (4. 39)

(4. 40)

(4. 40)

Pauli算符与Pauli矩阵 (4. 86) (4. 87)

Pauli算符与Pauli矩阵 (4. 86) (4. 87)