Quantum Noises and the Large Scale Structure WoLung













































- Slides: 45
Quantum Noises and the Large Scale Structure Wo-Lung Lee Physics Department, National Taiwan Normal University In collaboration with Chun-Hsien Wu, Kin-Wang Ng, Da-Shin Lee, and Yeo-Yie Charng Apr. 22 @ National Tsing Hua University
Introduction n The recent observational results of CMB anisotropy by the WMAP strongly support the ΛCDM model with early inflationary expansion n Although the result agrees with the generic predictions of inflationary scenario within a statistical error, it still suggests two unusual features: Ø the running spectral index Ø an anomalously low value of the quadrupole moment of the CMB
CMB Angular Power Spectrum Before WMAP
CMB Angular Power Spectrum by WMAP
CMB Angular Power Spectrum by WMAP
CMB Angular Power Spectrum by WMAP
Cosmic Variance n At large angular scales CMB experiments are limited by the fact that we only have one sky to measure and so cannot pin down the cosmic average to infinite precision no matter how good the experiment is.
Cosmic Variance n Mathematically, there are only 2 l+1 samples of the power at each multipole. In fact, the current generation of experiments that measure the peaks are even more severely limited in that they measure only a small fraction of the sky and so have an even smaller number of samples at each multipole such that
Cosmic Variance n Given the large uncertainties due to this cosmic variance, we might never know whether this constitutes a truly significant deviation from standard cosmological expectations.
Methods to Suppress the Large Scale Power By cosmic variance, it means that we simply live in a universe with a low quadrupole moment for no special reason. However, the low quadrupole moment can be treated as a physical effect that requests an explanation!!
Methods to Suppress the Large Scale Power By cosmic variance, it means that we simply live in a universe with a low quadrupole moment for no special reason. However, the low quadrupole moment can be treated as a physical effect that requests an explanation!! There are several methods that can generate small quadrupole moment. In principle, these methods can be classified into 3 categories: n Topology of the universe n Causality (Non-inflationary models) n Initial hybrid fluctuations
Methods to Suppress the Large Scale Power By cosmic variance, it means that we simply live in a universe with a low quadrupole moment for no special reason. However, the low quadrupole moment can be treated as a physical effect that requests an explanation!! There are several methods that can generate small quadrupole moment. In principle, these methods can be classified into 3 categories: n Topology of the universe n Causality (Non-inflationary models) n Initial hybrid fluctuations Quantum Colored Noise !!
Inflation & The Large Scale Structures n n n Inflation generates superhorizon fluctuations without appealing to finetuned initial setups. Quantum fluctuations are generated and amplified during the accelerated expansion phase. These fluctuations remain constant amplitude after horizon crossing. The majority of inflation models predict Gaussian, adiabatic, nearly scale-invariant primordial fluctuations
The Horizon-Crossings vs. Length Scales
Calculating Gauge-Invariant Fluctuations
Challenges to the Slow-Roll Inflation Scenario
Challenges to the Slow-Roll Inflation Scenario Slow-roll kinematics Quantum fluctuations
Challenges to the Slow-Roll Inflation Scenario Slow-roll kinematics Slow-roll conditions violated after horizoncrossing (Leach et al) l General slow-roll condition l (Stew ard) l Multi-component scalar fields l etc … Quantum fluctuations
Challenges to the Slow-Roll Inflation Scenario Slow-roll kinematics Quantum fluctuations Stochastic inflation – classical fluctuations driven by a white noise (Starobinsky) or by a colored noise (Liguori et al) coming from (Stew high-k modes ard) l Driven by a colored noise l Multi-component scalar fields from l etc … interacting quantum Slow-roll conditions violated after horizoncrossing (Leach et al) l General slow-roll condition l l
Density Fluctuations of the Inflaton
Density Fluctuations of the Inflaton Long wavelength mean field High frequency fluctuation mode
Density Fluctuations of the Inflaton Long wavelength mean field High frequency fluctuation mode
The Forms of the Window Function
The Forms of the Window Function White noise Scale-invariant spectrum
The Forms of the Window Function White noise Scale-invariant spectrum No suppression on large scales
The Forms of the Window Function A smooth window function (Liguori et al astro- ph/0405544)
The Forms of the Window Function A smooth window function (Liguori et al astro- ph/0405544) Colored noise low-l suppressed CMB spectrum
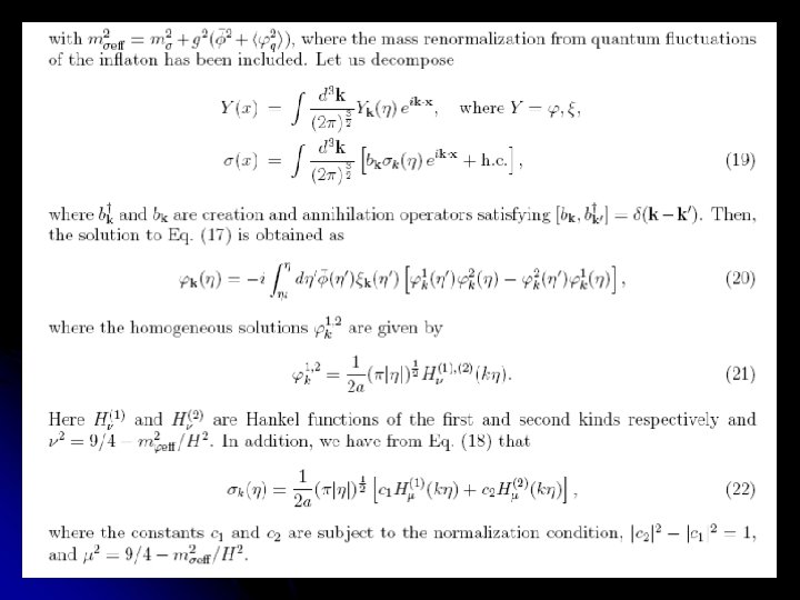
Quantum Noise & Density Fluctuation n To mimic the quantum environment, we consider a slowrolling inflaton coupled to a quantum massive scalar field σ, with a Lagrangian given by
Quantum Noise & Density Fluctuation n To mimic the quantum environment, we consider a slowrolling inflaton coupled to a quantum massive scalar field σ, with a Lagrangian given by n Approximate the inflationary spacetime by a de Sitter metric as
Langevin Equation for the Inflaton n Following the influence functional approach, we trace out up to the one-loop level and thus obtain the equation of motion for , which is a semiclassical Langevin equation:
Langevin Equation for the Inflaton n Following the influence functional approach, we trace out up to the one-loop level and thus obtain the equation of motion for , which is a semiclassical Langevin equation: Dissipation
Langevin Equation for the Inflaton n Following the influence functional approach, we trace out up to the one-loop level and thus obtain the equation of motion for , which is a semiclassical Langevin equation: White Noise produces intrinsic inflaton quantum fluctuations with a scaleinvariant power spectrum given by
Langevin Equation for the Inflaton n Following the influence functional approach, we trace out up to the one-loop level and thus obtain the equation of motion for , which is a semiclassical Langevin equation: Colored Noise
Langevin Equation for the Inflaton n Following the influence functional approach, we trace out up to the one-loop level and thus obtain the equation of motion for , which is a semiclassical Langevin equation:
Langevin Equation for the Inflaton n Following the influence functional approach, we trace out up to the one-loop level and thus obtain the equation of motion for , which is a semiclassical Langevin equation:
Langevin Equation for the Inflaton n Following the influence functional approach, we trace out up to the one-loop level and thus obtain the equation of motion for , which is a semiclassical Langevin equation:
The Linearized Langevin Equation
The Slow-Roll Condition
The Noise-driven Power Spectrum Start of inflation The noise-driven fluctuations depend upon the onset time of inflation and approach asymptotically to a scale-invariant power spectrum
Low CMB Quadrupole & the Onset of Inflation
The Hybrid Initial Spectrum
Summary n We have proposed a new source for the cosmological density perturbation which is passive fluctuations of the inflaton driven dynamically by a colored quantum noise as a result of its coupling to other massive quantum fields. n The created fluctuations grow with time during inflation before horizon-crossing. Since the larger-scale modes cross out the horizon earlier, thus resulting in a suppression of their density perturbation as compared with those on small scales. n By using current observed CMB data to constrain the parameters introduced, we find that a significant contribution from the noise-driven perturbation to the density perturbation is still allowed.
Thank you for your attention.