n linear transformation 6 1 p 451 4101

  • Slides: 102
Download presentation

n 線性轉換 (linear transformation) 線性代數: 6. 1節 p. 451 4/101

n 線性轉換 (linear transformation) 線性代數: 6. 1節 p. 451 4/101

n 零轉換 (zero transformation) n 相等轉換 (identity transformation) 線性代數: 6. 1節 p. 453 10/101

n 零轉換 (zero transformation) n 相等轉換 (identity transformation) 線性代數: 6. 1節 p. 453 10/101

摘要與復習 (6. 1節之關鍵詞) n function: 函數 n domain: 論域 n codomain: 對應論域 n image

摘要與復習 (6. 1節之關鍵詞) n function: 函數 n domain: 論域 n codomain: 對應論域 n image of v under T: 在T映射下v的像 n range of T: T的值域 n preimage of w: w的反像 n linear transformation: 線性轉換 n linear operator: 線性運算子 n zero transformation: 零轉換 n identity transformation: 相等轉換 19/101

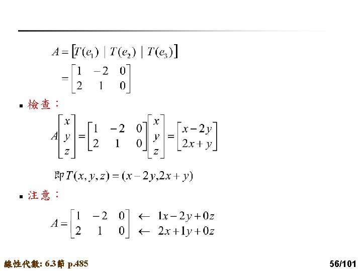
n 範例 11: 解: T: Rn→Rm dim(T的論域) rank(T) nullity(T) 一對一 映成 (a)T: Rn→Rm 3

n 範例 11: 解: T: Rn→Rm dim(T的論域) rank(T) nullity(T) 一對一 映成 (a)T: Rn→Rm 3 3 0 Yes (b)T: Rn→Rm 2 2 0 Yes No (c)T: Rn→Rm 3 2 1 No Yes (d)T: Rn→Rm 3 2 1 No No 線性代數: 6. 2節 pp. 477 -478 45/101

n 同構 (isomorphism) 線性代數: 6. 2節 p. 478 46/101

n 同構 (isomorphism) 線性代數: 6. 2節 p. 478 46/101

摘要與復習 (6. 2節之關鍵詞) n kernel of a linear transformation T: 線性轉換T的核空間 n range of

摘要與復習 (6. 2節之關鍵詞) n kernel of a linear transformation T: 線性轉換T的核空間 n range of a linear transformation T: 線性轉換T的值域 n rank of a linear transformation T: 線性轉換T的秩 n nullity of a linear transformation T: 線性轉換T的核次數 n one-to-one: 一對一 n onto: 映成 n isomorphism(one-to-one and onto): 同構 n isomorphic space: 同構的空間 50/101

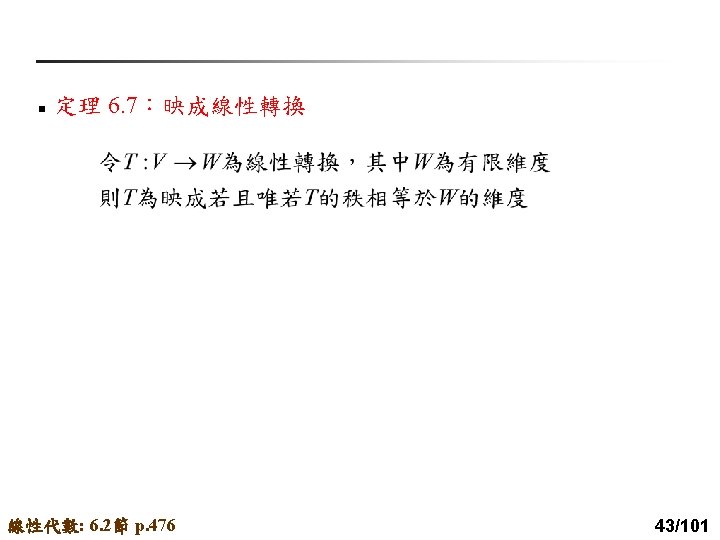
n T 1: Rn→Rm 與 T 2: Rm→Rp 的合成 (composition) n 定理 6. 11:線性轉換的合成

n T 1: Rn→Rm 與 T 2: Rm→Rp 的合成 (composition) n 定理 6. 11:線性轉換的合成 線性代數: 6. 3節 pp. 486 -487 58/101

摘要與復習 (6. 3節之關鍵詞) n standard matrix for T: T 的標準矩陣 n composition of linear

摘要與復習 (6. 3節之關鍵詞) n standard matrix for T: T 的標準矩陣 n composition of linear transformations: 線性轉換的合成 n inverse linear transformation: 反線性轉換 n n matrix of T relative to the bases B and B' : T對應於基底B到 B'的矩陣 matrix of T relative to the basis B: T對應於基底B的矩陣 72/101

摘要與復習 (6. 4節之關鍵詞) n matrix of T relative to B: T 相對於B的矩陣 n matrix

摘要與復習 (6. 4節之關鍵詞) n matrix of T relative to B: T 相對於B的矩陣 n matrix of T relative to B' : T 相對於B'的矩陣 n transition matrix from B' to B : 從B'到B的轉移矩陣 n transition matrix from B to B' : 從B到B'的轉移矩陣 n similar matrix: 相似矩陣 85/101

線性代數: 6. 5節 p. 505 -506 87/101

線性代數: 6. 5節 p. 505 -506 87/101

線性代數: 6. 5節 p. 506 -507 89/101

線性代數: 6. 5節 p. 506 -507 89/101

線性代數: 6. 5節 p. 509 -510 94/101

線性代數: 6. 5節 p. 509 -510 94/101

線性代數: 6. 5節 p. 510 -511 96/101

線性代數: 6. 5節 p. 510 -511 96/101

線性代數: 6. 5節 p. 513 100/101

線性代數: 6. 5節 p. 513 100/101

線性代數: 6. 5節 p. 513 101/101

線性代數: 6. 5節 p. 513 101/101