LEGEA LUI OHM Sa se calculeze intensitatea curentului








































- Slides: 40
LEGEA LUI OHM Sa se calculeze intensitatea curentului electric, care circulă printr-un bec cu rezistenţa de 400Ω, dacă tensiunea la bornele becului este de 120 V. ( Culegere de probleme de fizică pentru clasele VI-VIII-C. Vintilă, I. Oltean-EDP, București, 1974 )
Să se determine intensitatea unui curent care trece printr-un bec electric cu o rezistenţa are 240Ω, dacă tensiunea din reţeaua oraşului este de 120 V.
Ce diferenţa de potenţial trebuie aplicată unui conductor cu rezistenţa de 2Ω, pentru a onţine un curent de 60 A. ( Culegere de probleme de fizică pentru clasele VI-VIII-C. Vintilă, I. Oltean-EDP, București, 1974 )
Ce tensiune trebuie aălicată la la capetele unei rezistenţe de 160Ω, ştiind că prin rezistenţă trece un curent de 2 A? ( Culegere de probleme de fizică pentru clasele VI-VIII-C. Vintilă, I. Oltean-EDP, București, 1974 )
Să se calculeze rezistenţa unui bec electric conectat la tensiunea de 110 V, dacă diferenţa curentului care circulă prin bec este de 0, 5 A. ( Culegere de probleme de fizică pentru clasele VI-VIII-C. Vintilă, I. Oltean-EDP, București, 1974 )
Să se calculeze rezisteuţa unui aparat electric, căruia i se aplică o tensiune de 220 V, iar intensitateta curentului ce îl străbate este de 2 A. ( Culegere de probleme de fizică pentru clasele VI-VIII-C. Vintilă, I. Oltean-EDP, București, 1974 )
Tensiunea electromotoare a unei baterii este de 2 V, rezistenţa exterioară a circuitului este de 1, 6Ω. Care este intensitatea curentului electric, dacă rezistenţa interioară este 0, 4Ω.
Un acumulator are rezistenţa interioară 0, 05Ω şi este conectat la un conductor cu o rezistenţa de 4Ω, producând un curent de 0, 5 A. Să se calculeze tensiunea electromotoare a acumulatorului. ( Culegere de probleme de fizică pentru clasele VI-VIII-C. Vintilă, I. Oltean-EDP, București, 1974 )
Secțiunea transversală a unui conductor electric este parcursă de 5 x 1019 electroni pe durata Δt=5 s. Aflați rezistența electrică a conductorului, dacă tensiunea elctrică de la capetele lui este U=8 V. Sarcina electrică a electronului este qe=-1, 6 x 10 -19 C. ( Fizică-400 de probleme si 40 de teste-grilă, D. Bacrău, Gr. Editorial Corint, București, 2003)
Să se determine intensitatea curentului şi tensiunea la bornele unei baterii pusă într-un circuit, bateria având tensiunea electromotoare de 1, 5 V, rezistenţa interioară de 0, 12Ω şi rezistenţa exterioară de 1, 28Ω. ( Culegere de probleme de fizică pentru clasele VI-VIII-C. Vintilă, I. Oltean-EDP, București, 1974 )
Pentru a cunoaşte rezistenţa interioară a unei baterii cu o tensiune electromotoare de 2 V, el s-a legat la un circuit exterior cu rezistenţa de 1Ω obţinându-se curent de 1, 2 A. Să se afle rezistenţa interioară a bateriei. ( Culegere de probleme de fizică pentru clasele VI-VIII-C. Vintilă, I. Oltean-EDP, București, 1974 )
La bornele unui acumulator având tensiunea electromotoare de 12 V se conectează un conductor cu rezistenţa de 5Ω. Să se calculeze intensitatea curentului în circuit şi rezistenţa interioară a acumulatorului, dacă tensiunea la borne este de 11 V. ( Culegere de probleme de fizică pentru clasele VI-VIII-C. Vintilă, I. Oltean-EDP, București, 1974 )
O sursă electrică de rezistenţă interioară necunoscută “r” se introduce într-un circuit a cărui rezistenţa este de 2Ω. Tensiunea la bornele bateriei este în acest caz de 1 V. Ştind că tensiunea electromotoare a sursei este 1, 8 V, să se găsească rezistenţa interioară? ( Probleme de fizică, C. Maican, D. Tanase-EDP, Bucureşti, 1960 )
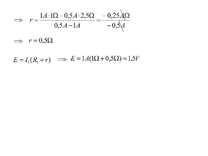
Dacă la bornele unei surse se conectează un rezistor cu rezistenţa R 1=1Ω, intesitatea curentului prin rezistor este I 1=1 A; dacă se conectează un rezistor cu rezistenţa R 2=2, 5Ω, intensitatea curentului prin el este I 2=0, 5 A. Să se calculeze rezistenţa interioară r si t. e. m. E, ale sursei. ( Probleme de fizică pentru clasele IX-X, D. Manda, M. Sandu, L. Georgescu, N. Gherbanovschi-EDP, Bucureşti, 1983)
Să se calculeze tensiunea U la bornele unei surse, cunoscând t. e. m. a sursei E=1, 5 V, rezistenţa interioară r=0, 4Ω iar rezistenţa circuitului exterior R=1, 6Ω. ( Probleme de fizică pentru clasele IX-X, D. Manda, M. Sandu, L. Georgescu, N. Gherbanovschi-EDP, Bucureşti, 1983)
Rezistenţa circuitului exterior al unei surse cu t. e. m. E=1, 5 V este R=2Ω. Tensiunea la bornele sursei este U=1 V. Să se calculeze rezistenţa internă a sursei. ( Probleme de fizică pentru clasele IX-X, D. Manda, M. Sandu, L. Georgescu, N. Gherbanovschi-EDP, Bucureşti, 1983)
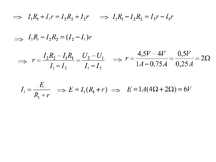
O sursă are tensiunea la borne U 1=4 V când i se leagă la borne o rezistenţă R 1=4Ω şi tensiunea la borne U 2=4, 5 V când rezistorul legat la borne are rezistenţa R 2=6Ω. Să se calculeze rezistenţa internă şi t. e. m. ale sursei. ( Probleme de fizică pentru clasele IX-X, D. Manda, M. Sandu, L. Georgescu, N. Gherbanovschi-EDP, Bucureşti, 1983)
Un circuit electric conține un rezistor electric, un ampermetru, un voltmetru și un alimentator didactic, prevăzut cu posibilitatea de a modifica tensiunea de alimentare a circuitului electric. Datele experimentale au fost înscrise în tabelul următor: U (V) 0, 5 1, 0 1, 2 1, 8 2, 3 3, 0 I (A) 0, 10 0, 24 0, 36 0, 46 0, 60 a) Reprezentați schema circuitului electric. b) Trasați graficul I=f(U) și scrieți care este interpretarea lui. c) Aflați rezistența electrică a rezistorului electric. ( Fizică-400 de probleme si 40 de teste-grilă, D. Bacrău, Gr. Editorial Corint, București, 2003)
U (V) 0, 5 1, 0 1, 2 1, 8 2, 3 3, 0 I (A) 0, 10 0, 24 0, 36 0, 46 0, 60 Intensitatea curentului crește direct proporționaal cu tensiunea electrică.
Un circuit electric simplu conţine un voltmetru. Dacă se închide întrerupătorul , voltmetrul indică 8, 6 V, iar dacă se deschide indică 9 V. a) Reprezentaţi schema circuitului eletric. b) Găsiţi valoarea rezistenţei interioare a generatorului, dacă intensitatea curentului electric din circuit este 0, 2 A. c) Aflaţi rezistenţa totală a circuitului electric simplu. ( Fizică-400 de probleme si 40 de teste-grilă, D. Bacrău, Gr. Editorial Corint, București, 2003)
sau:
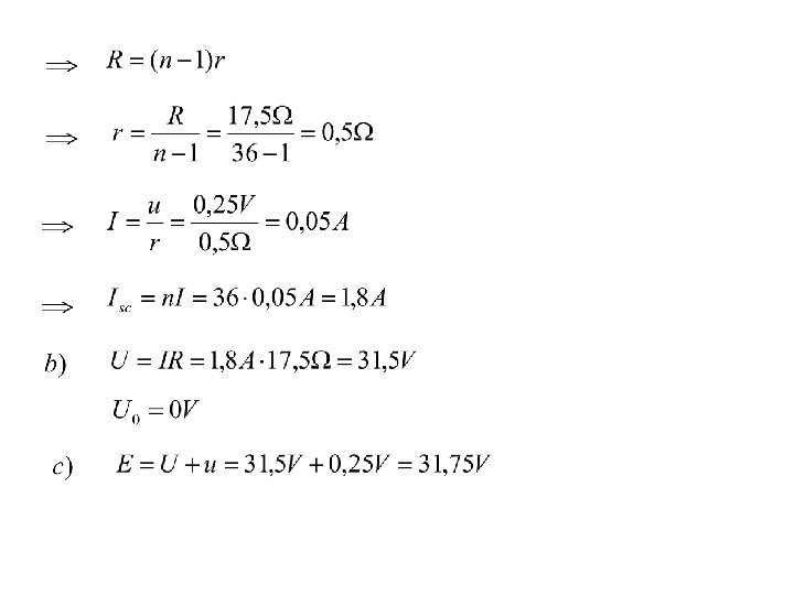
Un rezistor cu rezistenţa electrică R=17, 5Ω este conectat la un generator electric de curent electric continuu, a cărui cădere interioară de tensiune este u=0, 25 V. Dacă se scurtcircuitează rezistorul, se obţine un curent electric de n=36 ori mare. Calculaţi: a) intensitatea curentului electric; b) tensiunea electrică de la bornele rezistorului inainte şi după ce se scurtcircuitează rezistorului; c) tensiunea electromotoare. ( Fizică-400 de probleme si 40 de teste-grilă, D. Bacrău, Gr. Editorial Corint, București, 2003)
În circuitul din figură , rezistoarele au valorile R 1=20Ω , R 2=100Ω. Când comutatorul C este conectat pe poziţia “a” indică 2 A iar când este conectat pe poziţia “b” indică 1, 5 A. Calculaţi: a) rezistenţa interioară a bateriei. b) tensiunea electromotoare a sursei E; ( FIZICA- culegere de probleme pentru clasa a VIII-a –V. Olteanu, M. Marinescu, Ed. Almaron, 1992 )
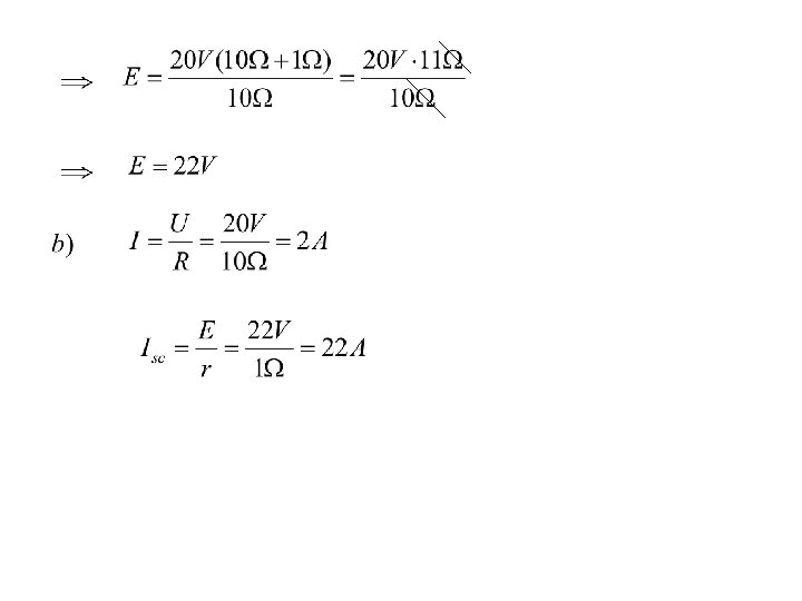
Voltmetrul din circuitul electric prezentat in figură indica 20 V. Generatorul are rezistența interioară r=1Ω, iar rezistorul are rezistența R=10Ω. Să se determine (neglijând intensitatea curentului absorbit de voltmetru și căderea de tensiune pe ampermetru ) : a) tensiunea electrometoare a generatorului; b) indicația ampermetrului în cazul din desen și în cazul când rezistorul este scurtcirciutat. ( FIZICA- culegere de probleme pentru clasa a VIII-a –V. Olteanu, M. Marinescu, Ed. Almaron, 1992 )
Un circuit este alimentat de un generator cu tensiunea electromotoare E=9 V şi r=0, 5Ω. La bornele lui se leagă un rezistor cu rezistenţa variabilă (reostat) între 0Ω şi 17, 5Ω. S-a trasat graficul intensităţii în funcţie de rezistenţa totală a circuitului Rtotal şi a obţinut curba din figură. Ce valori au coordonatele (a, b) ale punctului M şi coordonatele (c, d) ale punctului N. ( Probleme de fizică pentru gimnaziu , M. Sandu, E. Nichita, T. Ştefan-EDP, Bucureşti, 1983 ) În punctul M, intensitatea curentului este maximă, iar Rtot este minim.
În punctul N, intensitatea curentului este minimă, iar Rtot este maximă.
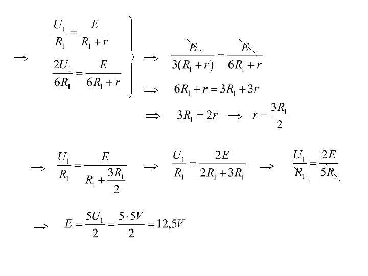
Conectând o baterie cu tensiune electromotoare E şi rezistenţă interioară r la o rezistenţă exterioară R 1, tensiunea la bornele bateriei este U 1=5 V. Dacă se schimbă rezistenţa R 1 cu o rezistenţă R 2=6 R 1, tensiunea la bornele bateriei este U 2=2 U 1. Să se calculeze tensiunea electromotoare a bateriei. ( Probleme de fizică pentru admitere în învăţământul superior, T. Creţu, D. Angelescu, I. Vieroşanu-EDP, Bucureşti, 1980 )
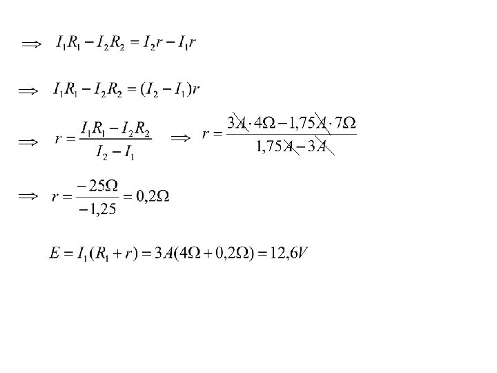
Pentru determinarea tensiunii electromotoare a unei baterii se foloseşte un ampermetru de rezistenţă interioară neglijabilă, precum şi două rezistoare de rezistenţe cunoscute: R 1=4Ω si R 2=7Ω. Legând la bornele bateriei , pe rând , câte unul din cele două rezistoare, ampermetrul indică curenţii I 1=3 A şi respectiv R 2=1, 75 A. Să se calculeze tensiunea electromotoare şi rezistenţa interioară a bateriei. ( Probleme de fizică pentru admitere în învăţământul superior, T. Creţu, D. Angelescu, I. Vieroşanu-EDP, Bucureşti, 1980 )