INTENSITATEA CURENTULUI ELECTRIC Prin seciunea transversal a unui














- Slides: 14
INTENSITATEA CURENTULUI ELECTRIC Prin secțiunea transversală a unui conductor trec într-un minut 600 C. Care este intensitatea curentului electric? ( Culegere de probleme de fizică pentru clasele VI-VIII-C. Vintilă, I. Oltean-EDP, București, 1974 )
Prin secțiunea transversală a unui conductor trec în timp de 1 h 1800 C. Care este intensitatea curentului electric? ( Culegere de probleme de fizică pentru clasele VI-VIII-C. Vintilă, I. Oltean-EDP, București, 1974 )
O baterie alimentează un bec electric. Prin circuit trece un curent constant de 0, 12 A. Ce cantitate de electricitate trece prin secțiunea transversală a circuitului, dacă becul arde timp de 3 h? ( Culegere de probleme de fizică pentru clasele VI-VIII-C. Vintilă, I. Oltean-EDP, București, 1974 )
Câți electroni trec în fiecare secundă prin secțiunea circuitului unui fier de călcat, care funcționează cu o intensitate de curent de 4, 8 A, știind că sarcina electrică a electronilor este de 1, 6 x 10 -19 C?
Printr-un resou trece un curent electric cu inensitatea de 1 A și transportă o sarcină electrică de 3600 C. Cât durează funcționarea reșoului? ( Culegere de probleme de fizică pentru clasele VI-VIII-C. Vintilă, I. Oltean-EDP, București, 1974 )
Dacă intensitatea curentului ce trece prin filamentul unui bec este de 0, 5 A și cantitatea de electricitate transportată este de 14000 C. Să se calculeze timpul de funcționare.
Care dintre cele trei aparate de măsura din figură, indică o intensitate mai mare, știind că prin conductorul de Cu trece o sarcină electrică de 720μC în timp de 2 minute. Care va fi indicația ampermetrului? ( FIZICA- culegere de probleme pentru clasa a VIII-a –V. Olteanu, M. Marinescu, Ed. Almaron, 1992 ) Concluzie: Toate cele trei aparate vor indica aceiași valoare a intensității curentului ce trece prin conductorul de Cu, dar cel mai exact va fi μA.
Prin secţiunea transversală a unui conductor , trece uniform în aceaşi sens, în intervalul de timp t=0, 5 min, un număr n=1022 electroni. Calculaţi intensitatea curentului dacă sarcina unui electron este qe=-1, 6 x 10 -19 C.
Graficul sarcinii electrice q în funcţie de timp este o linie dreaptă care trece prin origine şi formează un unghi de 450 cu axa timpului. Ce intensitate are curentul electric în acest caz? Trasăm garficul q = f(t) s-a obtinut un triunghi dreptunghic isoscel cele două catete au aceiaşi lungime
De la un circuit electric s-a abţinut următorul tabel de variaţie: t(s) 1 2 3 4 I(A) 20 20 a) Să se termine graficul I=f(t). b) Ce semnificaţie are suprafaţa cuprinsă între grafic şi axa t. ( FIZICA- culegere de probleme pentru clasa a VIII-a –V. Olteanu, M. Marinescu, Ed. Almaron, 1992 ) Să calulăm aria dreptunghiului: Aria dreptunghiului este egală cu sarcina electrică ce trece prin secţiunea circuitului.
Variaţia intensităţii curentului în funcţie de timp pentru două circuite electrice diferite este redată în figură. Să se calculeze sarcina electrică ce traversează secţiunea fiecărui circuit în două secunde iar apoi în secunda a patra. Ce semnificaţie are suprafaţa colorată? ( FIZICA- culegere de probleme pentru clasa a VIII-a –V. Olteanu, M. Marinescu, Ed. Almaron, 1992 ) În ambele cazuri intensitatea creşte direct proporţional cu timpul. Pentru a calcula sarcina electrică se va folosi intensitatea medie a curentului.
În secunda a patra I 1=20 m. A, iar I 2=40 m. A. Să calculăm aria triunghiului albastru: Aria triunghiului este egală cu sarcina electrică ce trece prin secţiunea circuitului.
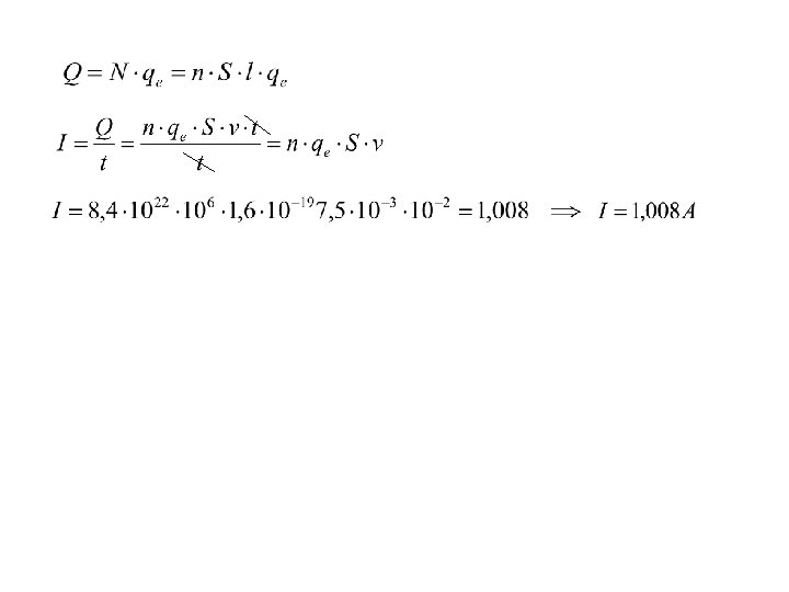
Numărul de electroni de conducţie (liberi) dintr-un conductor de cupru este de 8, 2 x 1022 electroni/cm 3. Ce intensitate va avea curentul electric într-un conductor de cupru cu secţiunea de 1 mm 2 dacă viteza de ansamblu a electronilor este 7, 5 x 10 -3 cm/s. v S unde Q reprezintă sarcina electrică totală tuturor electronilor care au trecut prin secţiunea S în timpul t, străbătând distanţa l. Numărul electronilor liberi , N( din volumul albastru), care au trecut prin suprfaţa S şi au umplut volumul V, în timpul t se calculează astfel: