EFFECT OF EXTERNAL PULSATION ON MIXING AND HEAT

























- Slides: 25
EFFECT OF EXTERNAL PULSATION ON MIXING AND HEAT TRANSFER IN INTERACTING VORTEX FIELD B. Tech. Project Phase-1 (2016) Name: Gautham Krishnan Roll No. : ME 13 B 029 Guide: Dr. Shaligram Tiwari
Introduction • A ‘vortex’ is commonly and extensively used notion in fluid dynamics. • It is extensively encountered in a variety of flows, often as coherent structures in turbulent flows • Vortices are also often generated in engineering applications using vortex generators so as to increase heat/ species transport in the flow. Voretex generator on a Cessena plane wing. Source: https: //commons. wikimedia. org/wiki/File: Vortex. Generators 0 1. JPG
Introduction •
Kelvin’s Circulation theorem • This can be used in order to ascertain the velocity field associated with the vortex.
Classification of vortices • This better captures viscous vortices.
Classification of vortices •
Chaotic fluid motion • Chaotic fluid motion due to non-integrable vortex motions has been examined in the Lagrangian perspective by Aref et al. [3] • This is pursued since existence of chaotic path lines in a particular fluid motion can be studied by the Lagrangian approach of tracking the motion of individual particles. • Chaotic fluid motion brings about the efficient transport of scalars such as species concentration and heat. It is also preferred over turbulent transport due to high mixing numbers and lower Re number requirement (Thus lesser power requirement. ) • Therefore even heat exchanger design is carried out by attempting to induce chaotic transport in the flow [4].
Objective • The objective of this study is to understand how the relative orientations, separation, relative vortex strengths of vortices inserted into the flow affect particle paths and mixing. • Path visualization, dependence of velocity components on time and their Fourier spectra are among the investigative tools used for analysis
Nonlinear dynamical system • From the velocity fields derived from the circulation theorem for each type of vortex (Inviscid and Rankine thus far) an NDS can be set up to describe fluid particle motion. • Consider a system of three vortices of strengths Γ 1 = αΓ, Γ 2 = βΓ, Γ 3 = γΓ • All the vortex axes are assumed to be stationary in time. Assuming the origin of coordinates lie midway between the axes of vortices 1 and 2 where axis 1 is parallel to the x-axis and axis 2 is at inclination of ‘θ’ to axis 1. Axis 3 is assumed to lie along the z-axis.
Non-dimensionalisation of NDS Table 1. Various parameters and their Characteristic values used for Non-Dimensionalisation Parameters Characteristic value Non-dimensionalised parameters Γi(i=1, 2, 3) x, y, z r 0 (for inviscid); a (for Rankine) d r 0 (for inviscid); a (for Rankine) t (x*, y*, z*) t*
Non-linear dynamical system (Inviscid-orthogonal) •
Non-linear dynamical system (Rankine-oblique) • For the Rankine vortex system, the separation ‘d’ between the axes of the vortices need to be greater than 4 a so as to avoid vortex merging.
Integrability of inviscid three-vortex system •
Integrability of Rankine two-vortex system • Therefore, the same conclusions drawn for the inviscid system can be drawn for the oblique Rankine system too.
Solving the NDS • The dynamical systems given earlier can be solved numerically to obtain the trajectory of a particle in this velocity field. • Since the systems in general are non-integrable, numerical integration is carried out using a fourth order Runge-Kutta scheme in FORTRAN.
Sample results from simulations •
Fig. 1: Inviscid orthogonal pair; (a) and (b) particle paths, (c) and (d) u-velocity signals
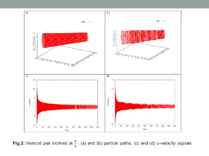
Sample results from simulations •
Work to be done • From the results of the numerical simulations it is readily seen that the dynamical system is sensitively dependent on parameters such as vortex axial separation, presence of external pulsations, inclination between skewed vortices and relative vortex strengths. • Tools such as Fourier spectra of the velocity signals, sensitivity to initial conditions (SIC), etc. can be used as aid in determining the possible chaotic nature of particle trajectories. • The study can also be extended to more realistic ‘Lamb– Oseen vortices’
Literature review • Literature review on the topics of chaotic fluid motion, vortices and lagrangian approach to analyse these motions were performed. Some of the papers utilized for the review have been tabulated below: S. No. Paper 1 Interaction of Inviscid Vortices Having Orthogonal Orientations, Shaligram Tiwari , Gautam Biswas and Mihir Sen, International Journal of Dynamics of Fluids, Volume 5, Number 2 (2009), pp. 93– 117 2 Kinematics of a Fluid Particle due to Interaction of Fixed Inviscid Vortex Filaments in Presence of External Translation and Pulsation, S. Jayavel, Shaligram Tiwari, Gautam Biswas and Mihir Sen, International Journal of Fluid Mechanics Research, 3 Interaction of a skewed rankine vortex pair, S. Jayavel, Pratish P. Patil, and Shaligram Tiwari, PHYSICS OF FLUIDS 20, 083601 2008 4 Advection transport model of vortex enhanced heat transfer, S. Jayavel, Shaligram Tiwari, International Journal of Heat and Mass Transfer (2012) 3273– 3287 5 A comparison of methods for interpolating chaotic flows from discrete velocity data. Ana M. Mancho , Des Small, Stephen Wiggins. Computers & Fluids 35 (2006) 416– 428 6 Persistent patterns in transient chaotic fluid mixing, D. Rothstein, E. Henry & J. P. Gollub, NATURE | VOL 401 | 21 OCTOBER 1999 7 Order in chaos, Hassan Aref, NATURE|VOL 401 | 21 OCTOBER 1999 8 Stirring by chaotic advection, Aref, J. Fluid Mwh. (1984), VOZ. 143, pp. 1 -21 9 Chaotic Mixing Processes: New Problems and Computational Issues, J. M. OTTINO, A. SOUVALIOTIS and GUY METCALFE, Chaos, Solitons & Fractals Vol. 6, pp. 425 -438, 1995 10 Interaction of Chaotic Advection and Diffusion, SCOTT W. JONES, Chaos, Solitons & Fractals Vol. 4, No. 6, pp. 929 -940, 1994 11 An objective definition of a vortex, G. Haller, J. Fluid Mech. (2005), vol. 525, pp. 1– 26. . 12 On the identification of a vortex, Jinhee Jeong , Fazle Hussain, J. Fluid Mech. (1995), vol. 285, pp. 69 -94 3.
References • 1. G. Haller, "An objective definition of a vortex. " J. Fluid Mech. (2005), vol. 525, pp. 1– 26. . • 2. Jinhee Jeong , Fazle Hussain, " On the identification of a vortex” J. Fluid Mech. (1995), vol. 285, pp. 69 -94 3. • 3. Aref, H. , Jones, S. W. , Mofina, S. , Zawadzki, I. , “Votices, Kinematics and Chaos, ”, Physica D, vol. 37, pp. 423 -440. • 4. Mokrani, A. , Castelain, C. , Peerhossaini, H. , 1997, “The Effects of Chaotic Advection on Heat Transfer, ” Int. J. Heat Mass Transfer, vol. 40, pp. 3089 -3104.
Thank You
Sample results from simulations • Similarly, the dynamical systems described for Rankine vortex system in equation 5(a, b, c) can be solved numerically and the path and velocity of a particle can be obtained. Fig. 3. illustrates the particle trajectories and uvelocity signals with and without pulsation.
Fig. 3: Rankine orthogonal pair; (a) and (b) particle paths, (c) and (d) u-velocity signals