Trigonometrik tenglamalar va ularni ychish usullari a eng

  • Slides: 28
Download presentation
Trigonometrik tenglamalar va ularni yеchish usullari a) eng sodda trigonometrik tenglamalar; b) trigonometrik funksiyalarga

Trigonometrik tenglamalar va ularni yеchish usullari a) eng sodda trigonometrik tenglamalar; b) trigonometrik funksiyalarga nisbatan algebraik tenglamalar; v) ikki funksiyaning tenglik sharti; g) bir jinsli tenglamalar. Trigonometrik tenglamalar va ularni yеchish usullari MMMYe. M fanidan 31. 10. 2019 dagi ochiq dars Saparboyev Jamoladdin Yuldashevich

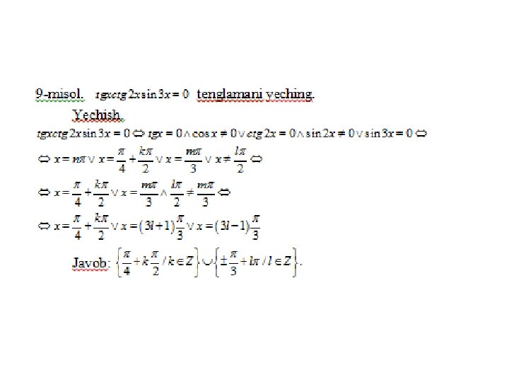
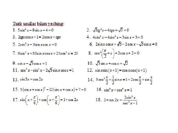
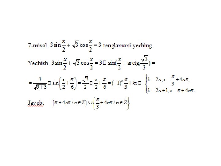
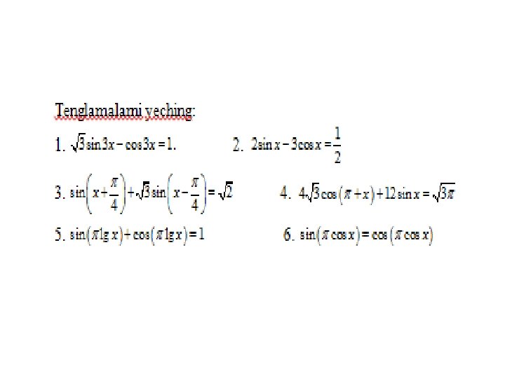
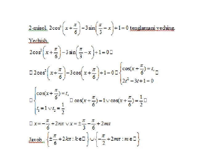
Trigonometrik tenglamalarning turlari bilan tanishishdan oldin quyidagilarni ta’kidlab o’tamiz. Tenglamalarni yechish jarayonida ba’zi bir

Trigonometrik tenglamalarning turlari bilan tanishishdan oldin quyidagilarni ta’kidlab o’tamiz. Tenglamalarni yechish jarayonida ba’zi bir shakl almashtirishlar bajariladi. Agar bunday almashtirishlar tenglamalarning teng kuchliligiga doir teoremalarga asoslangan bo’lsa, u holda hosil bo’lgan tenglamaning yechimi berilgan tenglamaning yechimi bo’ladi. Aks holda yechimlar tekshirilishi kerak. Trigonometrik funksiyalarning aniq bir qiymatini beradigan argumentning qiymatini cheksiz ko’p bo’lmaganligi uchun tenglamaning bir xususiy yechimini olgandan so’ng umumiy yechim formulasi hosil qilish mumkin.

 • Online ishlovchi internet sayti: trigonometrik tenglamalarni yechish usullarini o’zlashtirganliklarini aniqlovchi https: //www.

• Online ishlovchi internet sayti: trigonometrik tenglamalarni yechish usullarini o’zlashtirganliklarini aniqlovchi https: //www. yaklass. ru/p/algebra/10 klass/trigonometricheskie-uravneniia-9145/metodyresheniia-trigonometricheskikh-uravnenii-9134 • O’zbek tilida trigonometriya. Umuman matematikadan bilimlaringizni tekshiruvchi online internet dasturi sayti http: //www. abt. uz/training/index

E’tiboringiz uchun raxmat

E’tiboringiz uchun raxmat