Thme 2 Chap 6 Lauteur dune infraction Infractions

























- Slides: 25
Thème 2 Chap 6 L’auteur d’une infraction Infractions : contravention, délit, crime, Action publique Action civile Sanctions
Synthèse source : http: //vosdroits. service-public. fr/F 20798. xhtml I La justice civile règle les litiges entre particuliers Comment aller en justice civile? Quand une personne veut s’adresser à un juge pour obtenir la reconnaissance ou la protection de ce qu’elle estime être son droit, elle doit intenter une action en justice : • L’assignation : Acte de procédure qui permet à une personne d’informer son adversaire qu’elle engage un procès contre lui et l’appelle à comparaître devant une juridiction. L’assignation est établie et délivrée par un huissier de justice. • La requête et la déclaration au greffe : C’est une procédure simple et rapide, prévue dans certains cas par la loi pour les litiges civils les moins graves, permettant de saisir un tribunal (ex : tribunal d’instance, conseil de prud’hommes). • Elle consiste à présenter au greffe du tribunal, une demande et ses motifs, par oral ou par écrit. Le greffe se charge de convoquer les parties devant le tribunal.
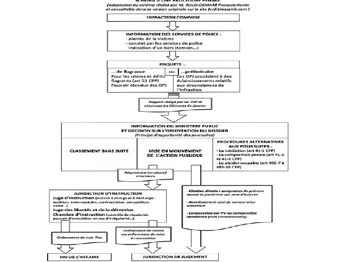
II La justice pénale est chargée de juger et de punir les infractions à la loi. Une infraction est une action répréhensible prévue et réprimée par une loi pénale. Celui qui l’a commet est jugé par la justice pénale et encourt des sanctions (voir suite) Comment aller en justice pénale ? Le déclenchement d’une procédure judiciaire pénale, peut être mis en œuvre soit par le procureur de la République, soit directement par la victime qui subit personnellement et directement un préjudice physique, moral ou matériel, du fait d’une infraction pénale. 2. 1 L’action publique est l’ action principale au procès pénal Cette action est exercée par le ministère public qui défend l’intérêt général. Une juridiction ne peut se saisir elle-même, le déclenchement des poursuites se fait par le Ministère public (Parquet) qui veille au respect de l’ordre public et à l’application de la loi). Le procureur reçoit les plaintes et dénonciations, et il est aussi informé des infractions par les OPJ Après l’enquête le procureur de la République prend une décision sur l’action publique il décide de l’opportunité des poursuites : Ø Ø il peut classer l’affaire sans suite, si elle ne lui semble pas mériter de traitement judiciaire il peut saisir un juge d’instruction si l’affaire est grave ou complexe et nécessite une enquête approfondie il peut saisir une juridiction de jugement, s’il estime que les faits sont constitutifs d’une infraction ; il peut enfin mettre en œuvre une solution alternative aux poursuites : le classement de l’affaire est alors soumis au respect par le mis en cause de certaines conditions (rappel à la loi, participation à une médiation, paiement d’une somme à titre de composition pénale, etc. ). Le procureur exerce seul l’opportunité des poursuites, il n’est donc pas lié par l’existence d’une éventuelle plainte.
2. 2 L’action civile : la victime peut porter plainte avec constitution de partie civile Permet de demander au juge d'instruction de déclencher des poursuites pénales (au lieu de le demander au procureur de la République). Elle permet d'être associée au déroulement de l'instruction (s'il y en a une). Elle permet de défendre ses intérêts civils auprès du juge pénal (demande de dommages-intérêts ou de réparation du préjudice). Quand est-il possible de porter plainte avec constitution de partie civile? • La démarche est ouverte à toute personne lésée par le crime. • En cas de délit de presse ou d'infractions au code électoral Dans les autres cas Il faut remplir les 2 conditions cumulatives suivantes : • avoir déjà déposé une plainte simple, • et posséder un courrier du procureur de la République informant de son refus d'engager des poursuites. Le juge pénal connaîtra donc de ces deux actions (action civile et action pénale) lors du procès.
III Les infractions http: //www. vie-publique. fr/decouverte-institutions/justice/fonctionnement/justice-penale/quels-sont-differents-types-infractionspenales. html Les infractions sont classées en trois groupes en fonction de la gravité du comportement qu’elles révèlent. A Les contraventions : = les infractions les moins graves, qui révèlent moins une atteinte aux normes fondamentales de l’ordre social qu’une indiscipline à l’égard des règles de la vie en commun. Punies de peines d’amende, il existe 5 classes de contravention selon le montant de l’amende encourue : De 38 euros = les contraventions de 1 ère classe (comme le défaut de port du permis de chasse), à 1 500 euros pour les contraventions de 5 ème classe (comme les violences volontaires avec incapacité de travail inférieur à 8 jours). B Les délits : = les infractions caractérisant une volonté de transgresser une norme sociale importante. Ils sont punis de peines d’amendes à partir de 3 750 euros, et de peines d’emprisonnement pouvant aller jusqu’à 10 ans pour les délits les plus graves. On compte parmi les délits les infractions les plus courantes : le vol, les violences aggravées, le port d’arme, l’agression sexuelle, etc. C Les crimes = la catégorie formée par les infractions les plus graves, qui manifestent une violation extrême des interdits fondamentaux de notre société. Ils sont punis, en fonction de leur gravité, d’une peine de réclusion pouvant aller de 15 ans à la perpétuité. L’homicide, mais encore le viol ou l’émission de fausse monnaie sont des crimes. Par le jeu des circonstances aggravantes, un même type d’infraction peut basculer dans la catégorie supérieure : par exemple, si le vol simple est un délit puni de 3 ans d’emprisonnement, le vol avec usage ou menace d’une arme est un crime puni de 20 ans de réclusion.
http: //www. vie-publique. fr/decouverte-institutions/justice/fonctionnement/justice-penale/quels-sont-differents-typesinfractions-penales. html
http: //www. jureka. fr/dico-francais-droit/lettre-s/definition-sanctions-penales
http: //vosdroits. service-public. fr/F 1406. xhtml
IV Les sanctions 1 Pour les crimes Peine principale L'auteur encourt une peine pouvant aller jusqu’à la réclusion à perpétuité. Peines complémentaires Une interdiction, une déchéance, une incapacité ou un retrait d'un droit, des injonctions de soins ou une obligation de faire, l'immobilisation ou la confiscation d'un objet, la fermeture d'un établissement, l'affichage ou la diffusion de la décision prononcée, une interdiction du territoire. Une amende peut également être associée à la peine de réclusion criminelle ou la détention criminelle. 2 Pour les délits Peine principale Les délits sont des infractions punies d’un emprisonnement d’un maximum de 10 ans ou d’une amende. Peines complémentaires une interdiction, une déchéance, une incapacité ou un retrait d'un droit, des injonctions de soins ou une obligation de faire, l'immobilisation ou la confiscation d'un objet, la fermeture d'un établissement, l'affichage ou la diffusion de la décision prononcée, une interdiction du Territoire En matière de délits, les peines suivantes peuvent aussi être prononcées : un travail d'intérêt général (TIG) non rémunéré d'une durée allant de 20 à 210 heures au profit d'une structure habilitée et chargée d'un service public, un stage de citoyenneté dont l'objet est de rappeler au condamné les valeurs républicaines de tolérance et de respect de la dignité humaine, l' annulation , la suspension du permis de conduire, l'interdiction de conduire certains véhicules pour une période maximum de 5 ans etc.
3 Pour les contraventions Peine principale La peine contraventionnelle encourue par les personnes physiques est une amende de 1. 500 € maximum. Peines complémentaires : l'obligation d'accomplir un stage de responsabilité parentale, l'obligation d'accomplir un stage de sensibilisation à la sécurité routière, la confiscation d'un animal, une interdiction d'émettre des chèques ou d'utiliser une carte bancaire pour une durée d'un an maximum, la suspension du permis de conduire pour une durée d'un an maximum. 4 Dans tous les cas le juge peut prononcer une Sanction-réparation = sanction civile Le juge peut prononcer une sanction-réparation, même lorsque l'auteur d'un délit est déjà condamné à une peine d'amende ou d'emprisonnement. Cette sanction est destinée à indemniser la victime du préjudice (par exemple, remise en état d'un bien endommagé).
http: //fxrd. blogspirit. com/
http: //www. justice. gouv. fr/template/cache/embeds/embed 1839. html? height=368&width=648
http: //www. justice. gouv. fr/template/cache/embeds/embed 2203. html? height=368&width=648
http: //www. justice. gouv. fr/template/cache/embeds/embed-1838. html? height=368&width=648
http: //www. justice. gouv. fr/template/cache/embeds/embed-1519. html? height=368&width=648
http: //justimemo. justice. gouv. fr/index_justimemo. php
http: //justimemo. justice. gouv. fr/index_justimemo. php? session. ID=170511151603&jus timemo. ID=51
http: //www. metiers. justice. gouv. fr/presentation-des-metiers-10070/les-metiers-enjuridictions-10071/juge-dinstruction-13109. html
http: //www. lcp. fr/videos/reportages/15498 -justice-francaise-et-justice-americaine-lesdifferences
http: //www. youtube. com/watch? v=4 J 4 i 50 LCDWA&feature=relmfu
http: //www. youtube. com/watch? v=45 x 9 -t. K 9_5 w&feature=related
Pour aller plus loin Les principes fondamentaux et les garanties procédurales Respect de la dignité humaine = un principe à valeur constitutionnelle qui s’impose aussi en procédure pénale afin que chaque personne voit son intégrité physique et psychique garantie tout au long de la procédure. « Les mesures de contrainte exercées sur la personne concernée par le déroulement de la procédure pénale, ne doivent pas porter atteinte à sa dignité » . L’indépendance et de l’impartialité de la justice. L’autorité judiciaire est « gardienne de la liberté individuelle » La justice pénale ne peut être rendue correctement qu’en présence d’une autorité judiciaire indépendante et impartiale. Ce sont des principes essentiels à l’Etat de droit. L’indépendance s’exerce vis-à-vis du pouvoir exécutif et du pouvoir législatif afin que ceux-ci ne s’immiscent à aucun moment dans le processus de décision des magistrats L’article 63 -5 du code de procédure pénale dispose : « La garde à vue doit s'exécuter dans des conditions assurant le respect de la dignité de la personne. » [Article 66 de la Constitution : « Nul ne peut être arbitrairement détenu. L’autorité judiciaire, gardienne de la liberté individuelle, assure le respect de ce principe dans les conditions prévues par la loi. » Il s’agit bien sûr d’une manifestation du principe de séparation des pouvoirs. Ex. jurisprudence du Conseil constitutionnel : « …il n’appartient pas au législateur de censurer des décisions des juridictions, d’adresser à elles des injonctions et de se substituer à elles dans le jugement des litiges relevant de leur compétence… et …d’enfreindre par là même, le principe de séparation des fonctions. » L’impartialité quant à elle, est une garantie nécessaire pour éviter tout préjugé de l’autorité judiciaire sur l’affaire en cours et préserver la présomption d’innocence de la personne mise en cause. La publicité des débats, pour écarter les risques d’une justice prononcée dans le secret non accessible aux citoyens. La confiance du corps social en la justice pénale rendue au nom du peuple passe par cet accès aux débats sauf exception.
L’égalité des armes, est également inhérent à l’équité de la procédure, et est associé au principe du contradictoire. Le droit à être assisté d’un avocat dès le début de la procédure, à être informé de la nature des faits qui sont reprochés, à garder le silence afin de ne pas contribuer à sa propre accusation, à faire appel à un interprète si besoin. La présomption d’innocence que la Déclaration des droits de l’homme et du citoyen de 1789 avait consacrée en son article 9 et qui est reprise à l’article préliminaire du code de procédure pénale « III. Toute personne suspectée ou poursuivie est présumée innocente tant que sa culpabilité n'a pas été établie. Les atteintes à sa présomption d'innocence sont prévenues, réparées et réprimées dans les conditions prévues par la loi » . La présomption d’innocence est une règle de preuve en procédure pénale. Elle définit qui doit supporter la charge de la preuve : c’est à l’accusation, principalement donc au ministère public, de rapporter la preuve des éléments constitutifs de l’infraction et de l’imputabilité de cette infraction à la personne poursuivie. Ainsi, celle-ci n’a pas à rapporter la preuve de son innocence. La preuve en matière pénale peut être rapportée par tout moyen, la preuve est libre et non hiérarchisée : l’aveu, comme le témoignage, comme tout indice matériel, peut être retenu par le juge, dès lors que ces éléments de preuve ont été discutés contradictoirement devant le juge, celui-ci forgeant son intime conviction (expliquée dans la motivation de la décision) à partir de la présentation de ces preuves. Si la preuve se fait par tout moyen, elle ne se recueille pas dans n’importe quelle condition. Le recueil de la preuve doit respecter des principes fondamentaux de dignité (pas d’atteintes à l’intégrité physique ou psychique de la personne) et de loyauté (la provocation ou l’incitation à la commission de l’infraction par les enquêteurs est jugée contraire au droit au procès équitable). De plus, le code de procédure pénale prévoit quelques règles spécifiques pour encadrer cette recherche des preuves qui peut parfois être très intrusive pour les personnes comme les écoutes téléphoniques portant atteinte à la vie privée, les fouilles. Cf. Montesquieu « Quand l’innocence des citoyens n’est pas assurée, la liberté ne l’est pas non plus » , De l’esprit des lois, Livre XII
Le modèle procédural accusatoire : « La procédure accusatoire ramène le procès pénal à un duel entre deux parties privées : la personne lésée par le délit, qui est demanderesse, et l’auteur de l’infraction, qui joue le rôle de défendeur. Les deux parties font valoir leurs prétentions librement, oralement, publiquement, devant le juge » . Henri Donnedieu de Vabres (Précis de droit criminel, 1953). La procédure accusatoire est publique, orale et contradictoire, les parties au procès (mis en cause, partie lésée) échangent leurs arguments devant le juge qui joue d’abord un rôle d’arbitre, sans intervenir notamment dans la recherche des preuves. Le procès est d’abord une affaire entre deux intérêts privés, celui de l’accusé et celui de la partie lésée. Le modèle inquisitoire : Dans ce modèle procédural, le cœur du dispositif réside dans la phase initiale du procès, l’enquête (inquisitio étymologiquement) au cours de laquelle se joue l’essentiel de la mise en évidence des éléments de preuve. Le juge joue un rôle actif, il est à l’initiative du déclenchement des poursuites, de la recherche des preuves notamment. . La procédure inquisitoire est alors, secrète, écrite et non contradictoire. La procédure pénale française s’est alors tournée vers un modèle transactionnel dit mixte par la doctrine, empruntant des éléments aux deux modèles évoqués. Le modèle mixte : « On appelle mixte une procédure qui combine, en des proportions variables, les traits deux procédures précédemment décrits. C’est une procédure de ce genre que s’est efforcé d’instituer le Code d’instruction criminelle. » André Vitu.