spinor yi vector Am locality Lorentz inv gauge





































- Slides: 37
spinor yi vector Am locality, Lorentz inv. gauge inv. electron quark scattering =probability amplitude T= scattering cross section p k' k p' Feynman rules
Feynman rules: draw graphs with photon fermion vertex loop fermion loop & arrange the factors T matrix etc.
photonrules: fermion vertex Feynman draw graphs with photon vertex fermion loop & arrange the factors T matrix
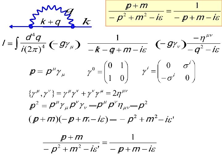
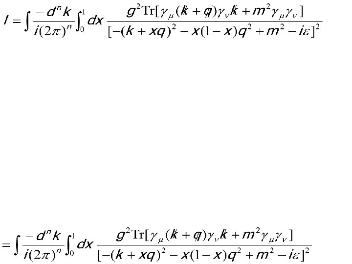
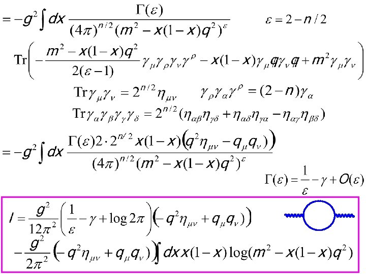
photon loop diagram fermion vertex fermion loop T matrix for q → ∞ divergent
photon loop fermion vertex fermion loop T matrix for k → ∞ divergent
photon loop fermion vertex fermion loop T matrix for q → ∞ divergent
use complete the square in the denominater with respect to q.
use complete the square in the denominater with respect to q.
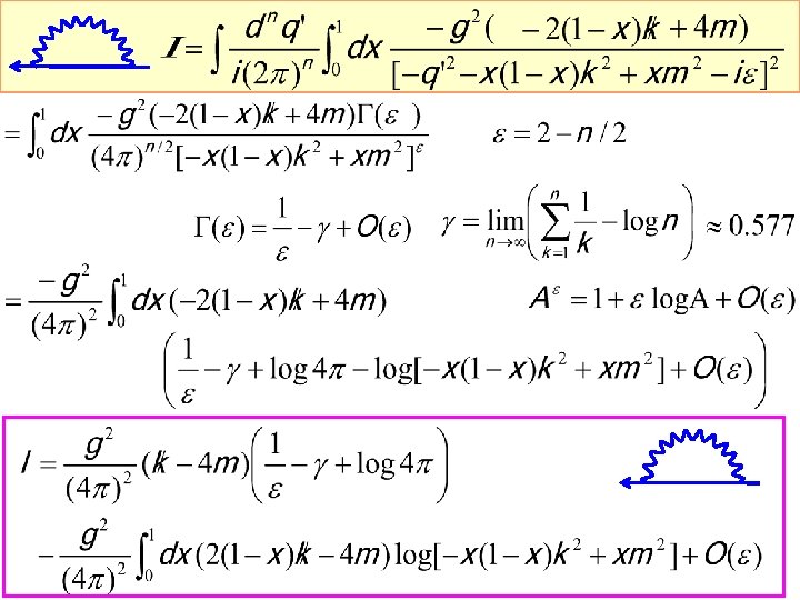
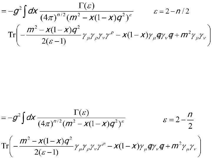
dimensional regularization: extend dimension n to non-integer I converges for non-integer n , and diverges as n → 4. Finally we will renormalize the divergences.
dimensional regularization: extend dimension n to non-integer I converges for non-integer n , and diverges as n → 4. Finally we will renormalize the divergences. n n change the integration variable q' The parts odd in q' vanish.
extend k 0 to complex = -k 02+k 2+L-ie
extend k 0 to complex -k 02+k 2+L-ie ∟ = n. K d = K 2 Wick rotation Euclidian vector Gamma function (def. )
(Lt )n/2 -1 (Lt ) Lm. Lt(t +1)m beta function : totally symmetric tensor
: totally symmetric tensor
: totally symmetric tensor
Tr(odd g matrices)=0
change variables The parts odd in k' vanish.
Fe = #ext. fermion lines Be = #ext. photon lines Fi = #int. fermion lines Bi = #int. photon lines L = #loops V = #vertices I diverges for fermion self energy part vertex part primitive divergence photon self energy part convergent owing to gauge invariance
proof of (1) (cont'd) inserting photon lines inserting fermion lines Incertions of photon lines & fermion lines do not change the l. h. s of (1) ∴(1) always holds.
fermion self energy part photon self energy part vertex part 1 particle proper part (1 particle irreducible part) reducible
renormalization (くりこみ) Consider a system with spinor y & photon. Am Lagrangian Feynman rules internal photon lines fermion vertex external lines loop particle anti-particle fermion loop T matrix
primitive divergences fermion self energy part photon self energy part proper vertex part If we add to the Lagrangian the term the following items are added to the Feynman rules × × × which always appear in sum with the primitive divergences, and, hence, can be taken so as to cancel out all the divergences.
Take : renormalized : renormalization constants (The gauge fixing term is redefined. ) Then We re-derive the Feynman rules for it. All the divergences arising from these rules can be canceled out by choosing appropriately. Relations among observables do not depend on the choices.
Thus, quantum electrodynamics is renormalizable. (このように、量子電気力学はくりこみ可能である。) If the Lagrangian includes the terms with the mass dimension greater than 4, theory is not renormalizable. (Lagrangianに、演算子部分の質量次元が4より大の相互 作用項を含む理論はくりこみ不可能である。) It theory includes interactions with coupling constants with negative mass dimensions, theory is not renormalizable. (結合定数の質量次元が負の相互作用項を含む理論はく りこみ不可能である。) The theory, however, is not necessarily renormalizable, even if all the coupling constants have non-negative mass dimensions, (結合定数の質量次元が正か0であってもくりこみ可能 とは限らない。)