Solution Concentration Molarity Molarity moles solute per liter

  • Slides: 18
Download presentation
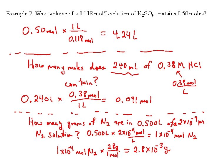
Solution Concentration: Molarity • Molarity = moles solute per liter of solution • 0.

Solution Concentration: Molarity • Molarity = moles solute per liter of solution • 0. 30 mol NH 3 dissolved in 0. 500 L Concentration = • Written like: [NH 3] = 0. 60 M

p. H: Quantitative Measure of Acidity • Acidity is related to concentration of H+

p. H: Quantitative Measure of Acidity • Acidity is related to concentration of H+ • p. H = -log[H+] • [H+] = 10 -p. H

p. H Scale • In pure water, a few molecules ionize to form H+

p. H Scale • In pure water, a few molecules ionize to form H+ and OH– H 2 O OH– + H+ • In acidic and basic solutions, these concentrations are not equal acidic: [H+] > [OH–] basic: [OH–] > [H+] neutral: [H+] = [OH–]

p. H Scale • Measure how much H+ is in a solution using p.

p. H Scale • Measure how much H+ is in a solution using p. H < 7. 0 = acidic p. H = 7. 0 = neutral p. H > 7. 0 = basic • Measure of H+ and OH– concentration (moles per liter) in a solution • As acidity increases, p. H decreases

p. H = –log [H+] The p. H scale is logarithmic: [H+], mol/L -log[H+]

p. H = –log [H+] The p. H scale is logarithmic: [H+], mol/L -log[H+] 10 1 0. 01 0. 0001 1 x 10 -9 101 100 10– 1 10 -4 10– 9 -log(101) = -1 -log(100) = 0 -log(10 -1) = 1 -log(10 -2) = 2 -log(10 -4) = 4 -log(10 -9) = 9

[H+] p. H Calculations What is p. H if [H+] = 10– 5 M?

[H+] p. H Calculations What is p. H if [H+] = 10– 5 M? Is a solution with [H+] = 10– 8 M? Acidic or basic? What is p. H if [H+] = 0. 000057 M? What is [H+] if p. H = 4. 68?

Molarity is a conversion factor Moles Liters

Molarity is a conversion factor Moles Liters

Solution Stoichiometry Example 1. What is mass of Pb. Cr. O 4 produced when

Solution Stoichiometry Example 1. What is mass of Pb. Cr. O 4 produced when 50. 0 m. L of a 0. 400 M Pb(NO 3)2 solution is mixed with an excess of 0. 100 M K 2 Cr. O 4?

Calculate the volume (in m. L) of 0. 715 M HNO 3 needed to

Calculate the volume (in m. L) of 0. 715 M HNO 3 needed to react completely with 6. 35 g of Ca. CO 3 + 2 HNO 3 Ca(NO 3)2 + CO 2 + H 2 O

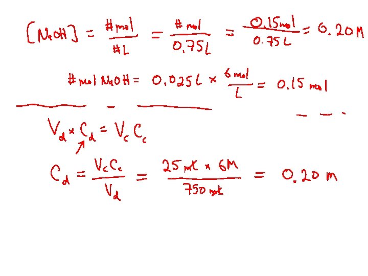
Titration Example Problems: Just like your lab! 1. Standardizing an Na. OH solution using

Titration Example Problems: Just like your lab! 1. Standardizing an Na. OH solution using a “primary standard” A solution of sodium hydroxide is “standardized” by titration using solid oxalic acid, H 2 C 2 O 4, as the acid. It is found that 24. 5 m. L of the Na. OH solution is needed to react completely with 2. 05 g of oxalic acid. What is the concentration of the Na. OH solution? H 2 C 2 O 4(aq) + 2 Na. OH 2 H 2 O(l) + Na 2 C 2 O 4(aq)