Polynomials Polynomials Polynomial A polynomial is a mathematical


















































- Slides: 50
Polynomials
Polynomials
Polynomial A polynomial is a mathematical expression involving a sum of powers in one or more variables multiplied by coefficients. A polynomial in one variable (i. e. , a univariate polynomial) with constant coefficients is given by e. g. - anxn+a 2 x 2+a 1 x+a 0
Vocabulary Monomials - a number, a variable, or a product of a number and one or more variables. 4 x, 20 x 2 yw 3, -3, a 2 b 3, and 3 yz are all monomials. Polynomials – one or more monomials added or subtracted. 4 x + 6 x 2, 20 xy - 4, and 3 a 2 - 5 a + 4 are all polynomials.
Like Terms refers to monomials that have the same variable(s) but may have different coefficients. The variables in the terms must have the same powers. Which terms are like? 3 a 2 b, 4 ab 2, 3 ab, -5 ab 2 4 ab 2 and -5 ab 2 are like. Even though the others have the same variables, the exponents are not the same. 3 a 2 b = 3 aab, which is different from 4 ab 2 = 4 abb.
Like Terms Constants are like terms. Which terms are like? 2 x, -3, 5 b, 0 -3 and 0 are like. Which terms are like? 3 x, 2 x 2, 4, x 3 x and x are like. Which terms are like? 2 wx, w, 3 x, 4 xw 2 wx and 4 xw are like.
Operation on Polynomial Addition Subtraction Multiplication Division
Adding a Polynomial Add: (x 2 + 3 x + 1) + (4 x 2 +5) Step 1: Underline like terms: (x 2 + 3 x + 1) + (4 x 2 +5) Notice: ‘ 3 x’ doesn’t have a like term. Step 2: Add the coefficients of like terms, do not change the powers of the variables: (x 2 + 4 x 2) + 3 x + (1 + 5) 5 x 2 + 3 x + 6
Adding a Polynomial Some people prefer to add polynomials by stacking them. If you choose to do this, be sure to line up the like terms! (x 2 + 3 x + 1) + (4 x 2 +5) 5 x 2 + 3 x + 6 Stack and add these polynomials: (2 a 2+3 ab+4 b 2) + (7 a 2+ab+-2 b 2) (2 a 2 + 3 ab + 4 b 2) (2 a 2+3 ab+4 b 2) + (7 a 2+ab+-2 b 2) + (7 a 2 + ab + -2 b 2) 9 a 2 + 4 ab + 2 b 2
Activity!! Add the following polynomials; you may stack them if you prefer:
Subtracting a Polynomial Subtract: (3 x 2 + 2 x + 7) - (x 2 + x + 4) Step 1: Change subtraction to addition (Keep-Change. ). (3 x 2 + 2 x + 7) + (- x 2 + - x + - 4) Step 2: Underline OR line up the like terms and add. (3 x 2 + 2 x + 7) + (- x 2 + - x + - 4) 2 x 2 + x + 3
Activity!! Subtract the following polynomials by changing to addition (Keep-Change. ), then add:
Multiplying a Polynomial
Review The Distributive Property Look at the following expression: 3(x + 7) This expression is the sum of x and 7 multiplied by 3. (3 • x) + (3 • 7) 3 x + 21 To simplify this expression we can distribute the multiplication by 3 to each number in the sum.
Review Whenever we multiply two numbers, we are putting the distributive property to work. 7(23) We can rewrite 23 as (20 + 3) then the problem would look like 7(20 + 3). Using the distributive property: (7 • 20) + (7 • 3) = 140 + 21 = 161 When we learn to multiply multi-digit numbers, we do the same thing in a vertical format.
Review 2 23 x____ 7 16 7 • 3 = 21. Keep the 1 in the ones position then carry the 2 into the tens position. 7 • 2 = 14. Add the 2 from before and we get 16. What we’ve really done in the second step, is multiply 7 by 20, then add the 20 left over from the first step to get 160. We add this to the 1 to get 161.
Multiplying a Polynomial Multiply: 3 xy(2 x + y) This problem is just like the review problems except for a few more variables. To multiply we need to distribute the 3 xy over the addition. 3 xy(2 x + y) = (3 xy • 2 x) + (3 xy • y) = 6 x 2 y + 3 xy 2 Then use the order of operations and the properties of exponents to simplify.
Multiplying a Polynomial We can also multiply a polynomial and a monomial using a vertical format in the same way we would multiply two numbers. Multiply: 7 x 2(2 xy – 3 x 2) 2 xy – 3 x 2 x____ 7 x 2 14 x 3 y – 21 x 2 Keep track of negative signs. Align the terms vertically with the monomial under the polynomial. Now multiply each term in the polynomial by the monomial.
Multiplying a Polynomial To multiply a polynomial by another polynomial we use the distributive property as we did before. Multiply: (x + 3)(x – 2) (x + 3) (x – 2) x____ 2 x – 6 x 2 + 3 x + 0 _____ x 2 + 5 x – 6 Line up the terms by degree. Multiply in the same way you would multiply two 2 -digit numbers. Remember that we could use a vertical format when multiplying a polynomial by monomial. We can do the same here.
Multiplying a Polynomial To multiply the problem below, we have distributed each term in one of the polynomials to each term in the other polynomial. Multiply: (x + 3)(x – 2) (x + 3) x____ (x – 2) 2 x – 6 2 + 3 x + 0 x_____ x 2 + 5 x – 6 Here is another example. (x 2 – 3 x + 2)(x 2 – 3) (x 2 – 3 x + 2) Line up like terms. 2 x______ (x – 3) – 3 x 2 + 9 x – 6 x 4 – 3 x 3 + 2 x 2 + 0 x + 0 _________ x 4 – 3 x 3 – 1 x 2 + 9 x – 6
Multiplying a Polynomial It is also advantageous to multiply polynomials without rewriting them in a vertical format. Though the format does not change, we must still distribute each term of one polynomial to each term of the other polynomial. Multiply: (x + 2)(x – 5) Each term in (x+2) is distributed to each term in (x – 5).
Multiplying a Polynomial Multiply the First terms. O Multiply the Outside terms. F (x + 2)(x – 5) I L Multiply the Inside terms. Multiply the Last terms. After you multiply, collect like terms. This pattern for multiplying polynomials is called FOIL.
Multiplying a Polynomial Example: (x – 6)(2 x + 1) x(2 x) + x(1) – (6)2 x – 6(1) 2 x 2 + x – 12 x – 6 2 x 2 – 11 x – 6
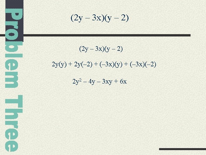
Activity !! 1. 2 x 2(3 xy + 7 x – 2 y) 2. (x + 4)(x – 3) 3. (2 y – 3 x)(y – 2)
2 x 2(3 xy + 7 x – 2 y) 2 x 2(3 xy) + 2 x 2(7 x) + 2 x 2(– 2 y) 6 x 3 y + 14 x 2 – 4 x 2 y
Dividing a Polynomial Simple Division -dividing a polynomial by a monomial
Dividing a Polynomial
Dividing a Polynomial
x-8 -(x 2 + 3 x ) x 2/x = x - 8 x - 24 -( - 8 x - 24 ) -8 x/x = -8 0
h 2 -( h 3/h = h 2 + 4 h +5 - 4 h 2 ) 4 h 2 - 11 h -( 4 h 2 - 16 h ) 5 h + 28 4 h 2/h = 4 h -( 5 h/h = 5 5 h - 20 48 )
Dividing a Polynomial Synthetic Divisiondivide a polynomial by a polynomial To use synthetic division: There must be a coefficient for every possible power of the variable. The divisor must have a leading coefficient of 1.
Dividing a Polynomial Step #1: Write the terms of the polynomial so the degrees are in descending order. Since the numerator does not contain all the powers of x, you must include a 0 for the x.
Dividing a Polynomial Step #2: Write the constant r of the divisor x-r to the left and write down the coefficients. 5 0 -4 Since the divisor is x-3, r=3 1 6
Dividing a Polynomial Step #3: Bring down the first coefficient, 5. 5
Dividing a Polynomial Step #4: Multiply the first coefficient by r, so and place under the second coefficient then add. 15 5 15
Dividing a Polynomial Step #5: Repeat process multiplying the sum, 15, by r; and place this number under the next coefficient, then add. 5 15 15 15 45
Dividing a Polynomial Step #5 cont. : Repeat the same procedure. Where did 123 and 372 come from? 5 15 15 45 124 15 378
Dividing a Polynomial Step #6: Write the quotient The numbers along the bottom are coefficients of the power of x in descending order, starting with the power that is one less than that of the dividend. 5 15 45 123 372 15 41 124 378
Dividing a Polynomial The quotient is: Remember to place the remainder over the divisor.
Dividing a Polynomial Step#1: Powers are all accounted for and in descending order. Step#2: Identify r in the divisor. Since the divisor is x+4, r=-4.
Dividing a Polynomial Step#3: Bring down the 1 st coefficient. Step#4: Multiply and add. Step#5: Repeat. -5 20 -1 4 1 -4 0 0 8 -2 10
Dividing a Polynomial Notice the leading coefficient of the divisor is 2 not 1. We must divide everything by 2 to change the coefficient to a 1.
Dividing a Polynomial 3
Dividing a Polynomial *Remember we cannot have complex fractions - we must simplify.
Dividing a Polynomial 1 Coefficients
Dividing a Polynomial
Apllication Bagatrix Calculator Apps