Limits and Continuity Definition Evaluation of Limits Continuity






































- Slides: 38
Limits and Continuity • Definition • Evaluation of Limits • Continuity • Limits Involving Infinity
Limit L a
Limits, Graphs, and Calculators c) Use direct substitution Indeterminate form **If direct substitution results in an indeterminate form, then try factoring or rationalizing to simplify f(x) and then try direct substitution again,
2. Find 6 Note: f (-2) = 1 is not involved -2
3) Use direct substitution to evaluate the limits Answer : 16 Answer : DNE Answer : 1/2
One-Sided Limits The right-hand limit of f (x), as x approaches a, equals L written: if we can make the value f (x) arbitrarily close to L by taking x to be sufficiently close to the right of a. L a
The left-hand limit of f (x), as x approaches a, equals M written: if we can make the value f (x) arbitrarily close to L by taking x to be sufficiently close to the left of a. M a
Examples of One-Sided Limit 1. Given Find
More Examples Find the limits:
A Theorem Memorize This theorem is used to show a limit does not exist. For the function But
Limit Theorems Page 99
Examples Using Limit Rule Ex.
More Examples
Indeterminate Forms Indeterminate forms occur when substitution in the limit results in 0/0. In such cases either factor or rationalize the expressions. Ex. Notice form Factor and cancel common factors
More Examples
The Squeezing Theorem See Graph
Continuity A function f is continuous at the point x = a if the following are true: f(a) a
A function f is continuous at the point x = a if the following are true: f(a) Memorize a
Removable Discontinuities: (You can fill the hole. ) Essential Discontinuities: jump infinite oscillating
Examples At which value(s) of x is the given function discontinuous? Continuous everywhere except at
and Thus h is not cont. at x=1. h is continuous everywhere else an d Thus F is not cont. at F is continuous everywhere else
Continuous Functions If f and g are continuous at x = a, then A polynomial function y = P(x) is continuous at every point x. A rational function at every point x in its domain. is continuous
Intermediate Value Theorem If f is a continuous function on a closed interval [a, b] and L is any number between f (a) and f (b), then there is at least one number c in [a, b] such that f(c) = L. Memorize f (b) f (c) = L f (a) a c b
Example f (x) is continuous (polynomial) and since f (1) < 0 and f (2) > 0, by the Intermediate Value Theorem there exists a c on [1, 2] such that f (c) = 0.
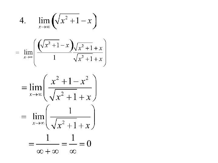
Limits at Infinity For all n > 0, provided that Ex. is defined. Divide by
More Examples
Infinite Limits For all n > 0, More Graphs
Examples Find the limits
Limit and Trig Functions From the graph of trigs functions we conclude that they are continuous everywhere
Tangent and Secant Tangent and secant are continuous everywhere in their domain, which is the set of all real numbers
Inverse tangent function • f(x)=tan x is not one-to-one • But the function f(x)=tan x , -π/2 < x < π/2 is one-to-one. The restricted tangent function has an inverse function which is denoted by tan-1 or arctan and is called inverse tangent function. • Example: tan-1(1) = π/4. • Limits involving tan-1:
Graphs of inverse functions The graph of y = arctan x Domain: Range:
Limit and Exponential Functions The above graph confirm that exponential functions are continuous everywhere.
Asymptotes
Examples Find the asymptotes of the graphs of the functions