MOTION SPEED VELOCITY AND ACCELERATION MOTION Motion an

















































































- Slides: 81
MOTION, SPEED, VELOCITY AND ACCELERATION
MOTION ►Motion – an object’s change in position relative to a reference point
REFERENCE POINT ►The Earth’s surface is used as a common reference point ►A moving object can be used as a reference point as well
GRAPHING MOTION IN ONE DIMENSION • Interpret graphs of position versus time for a moving • • object to determine the velocity of the object Describe in words the information presented in graphs and draw graphs from descriptions of motion Write equations that describe the position of an object moving at constant velocity
PARTS OF A GRAPH • X-axis • Y-axis • All axes must be labeled with appropriate units, and values.
POSITION VS. TIME • The x-axis is always “time” • The y-axis is always “position” • The slope of the line indicates • the velocity of the object. Slope = (y 2 -y 1)/(x 2 -x 1) • • d 1 -d 0/t 1 -t 0 Δd/Δt
UNIFORM MOTION • Uniform motion is defined as equal displacements occurring during successive equal time periods (sometimes called constant velocity) • Straight lines on position-time graphs mean uniform motion.
SPEED ►Speed is the distance traveled divided by the time interval during which the motion occurred ►Normally, objects do not travel at a constant speed ►Average Speed - total distance (v=d/t) ►Units= m/s total time
WHICH DISTANCE? ►Farmer Jones drives 6 miles down a straight road. She turns around and drives 4 miles back. What was her average speed for this trip if it took 1 hour?
YOUR ANSWER TO THIS PROBLEM DEPENDS ON YOUR INTERPRETATION OF "DISTANCE TRAVELED". YOU COULD SAY: ►The total distance traveled by Farmer Jones is 10 miles. Therefore her average speed is 10 mi/hr. ►The net distance traveled by Farmer Jones is 2 miles. Therefore, her average speed is 2 mi/hr. ►There are good reasons to use either interpretation - it's mostly a matter of preference. We will interpret "distance traveled" to be net distance (also called displacement). Farmer Jones' average speed was 2 mi/hr.
Given below is a diagram of a ball rolling along a table. Strobe pictures reveal the position of the object at regular intervals of time, in this case, once each 0. 1 seconds. Notice that the ball covers an equal distance between flashes. Let's assume this distance equals 20 cm and display the ball's behavior on a graph plotting its xposition versus time.
The slope of this line would equal 20 cm divided by 0. 1 sec or 200 cm/sec. This represents the ball's average velocity as it moves across the table. Since the ball is moving in a positive direction its velocity is positive. That is, the ball's velocity is a vector quantity possessing both magnitude (200 cm/sec) and direction (positive).
VELOCITY ►Velocity appears to be very similar to speed, however, when describing the velocity of an object you need to provide a magnitude and a direction ►Magnitude – the speed of the object ►Direction – the direction the object is moving
VELOCITY ►Ex) A bus has a velocity of 35 miles/hr heading west
EXAMPLE 15 m/s + 1 m/s = 14 m/s
EXAMPLE 15 m/s + 1 m/s = 16 m/s
VELOCITY ►Velocity is the speed of an object in a particular direction ►Imagine two birds leave the same tree at the same time. The both fly at 10 km/hr for 5 minutes. Why don’t they end up at the same place?
RESULTANT VELOCITY ►An object can have a resultant velocity if it is experiencing more than one motion. ►For example if a person walks down the center of a bus while it is in motion there are two velocities occurring. • • 1. The movement of the bus 2. The movement of the person inside the bus
UNIFORM MOTION • Uniform motion is defined as equal displacements occurring during successive equal time periods (sometimes called constant velocity) • Straight lines on position-time graphs mean uniform motion.
STEEPNESS OF SLOPE ON POSITION-TIME GRAPH • Slope is related to velocity • Steep slope = higher velocity • Shallow slope = less velocity
DIFFERENT POSITION. VS. TIME GRAPHS Accelerated Uniform Motion Constant positive velocity (zero acceleration) Constant negative velocity (zero acceleration) Motion Increasing positive velocity (positive acceleration) Decreasing negative velocity (positive acceleration)
DIFFERENT POSITION. VS. TIME Changing slope means changing velocity!!!!!! Decreasing negative slope = ? ? Increasing negative slope = ? ?
X B A t C A … Starts at home (origin) and goes forward slowly B … Not moving (position remains constant as time progresses) C … Turns around and goes in the other direction quickly, passing up home
During which intervals was he traveling in a positive direction? During which intervals was he traveling in a negative direction? During which interval was he resting in a negative location? During which interval was he resting in a positive location? During which two intervals did he travel at the same speed? A) 0 to 2 sec B) 2 to 5 sec C) 5 to 6 sec D)6 to 7 sec E) 7 to 9 sec F)9 to 11 sec
x B C GRAPHING W/ ACCELERATION t A D A … Start from rest south of home; increase speed gradually B … Pass home; gradually slow to a stop (still moving north) C … Turn around; gradually speed back up again heading south D … Continue heading south; gradually slow to a stop near the starting point
YOU TRY IT…. . • Using the Position-time graph given to you, write a • • one or two paragraph “story” that describes the motion illustrated. You need to describe the specific motion for each of the steps (a-f) You will be graded upon your ability to correctly describe the motion for each step.
TANGENT LINES x t On a position vs. time graph: SLOPE VELOCITY SLOPE SPEED Positive Steep Fast Negative Gentle Slow Zero Flat Zero
INCREASING & DECREASING x t Increasing Decreasing On a position vs. time graph: Increasing means moving forward (positive direction). Decreasing means moving backwards (negative direction).
x CONCAVITY t On a position vs. time graph: Concave up means positive acceleration. Concave down means negative acceleration.
x Q R P SPECIA L POINTS S Inflection Pt. P, R Peak or Valley Q Time Axis Intercept P, S Change of concavity, change of acceleration Turning point, change of positive velocity to negative Times when you are at “home”, or at origin t
GRAPHING VELOCITY IN ONE DIMENSION • Determine, from a graph of velocity versus time, the velocity of an object at a specific time • Interpret a v-t graph to find the time at which an object has a specific velocity • Calculate the displacement of an object from the area under a v-t graph
VELOCITY VS. TIME • X-axis is the “time” • Y-axis is the “velocity” • Slope of the line = the acceleration
DIFFERENT VELOCITY-TIME GRAPHS
DIFFERENT VELOCITY-TIME GRAPHS
VELOCITY VS. TIME • Horizontal lines = constant velocity • Sloped line = changing velocity • • Steeper = greater change in velocity per second Negative slope = deceleration
ACCELERATION VS. TIME Time is on the x-axis • Acceleration is on the y -axis • Shows how acceleration changes over a period of time. • Often a horizontal line. • Formula: (a= v 2 -v 1/t)
x ALL 3 GRAPHS t v t a t
REAL LIFE Note how the v graph is pointy and the a graph skips. In real life, the blue points would be smooth curves and the orange segments would be connected. In our class, however, we’ll only deal with constant acceleration. v t a t
CONSTANT RIGHTWARD VELOCITY
CONSTANT LEFTWARD VELOCITY
CONSTANT RIGHTWARD ACCELERATION
CONSTANT LEFTWARD ACCELERATION
LEFTWARD VELOCITY WITH RIGHTWARD ACCELERATION
GRAPH PRACTICE Try making all three graphs for the following scenario: 1. Newberry starts out north of home. At time zero he’s driving a cement mixer south very fast at a constant speed. 2. He accidentally runs over an innocent moose crossing the road, so he slows to a stop to check on the poor moose. 3. He pauses for a while until he determines the moose is squashed flat and deader than a doornail. 4. Fleeing the scene of the crime, Newberry takes off again in the same direction, speeding up quickly. 5. When his conscience gets the better of him, he slows, turns around, and returns to the crash site.
AREA UNDERNEATH V-T GRAPH • If you calculate the area underneath a v -t graph, you would multiply height X width. • Because height is actually velocity and width is actually time, area underneath the graph is equal to • Velocity X time or V·t
• Remember that Velocity = Δd Δt • Rearranging, we get Δd = velocity X Δt • So…. the area underneath a velocity-time graph is equal to the displacement during that time period.
v “positive area” AREA t “negative area” Note that, here, the areas are about equal, so even though a significant distance may have been covered, the displacement is about zero, meaning the stopping point was near the starting point. The position graph shows this as well. x t
VELOCITY VS. TIME • The area under a velocity time graph indicates the displacement during that time period. • Remember that the slope of the line indicates the acceleration. • The smaller the time units the more “instantaneous” is the acceleration at that particular time. • If velocity is not uniform, or is changing, the acceleration will be changing, and cannot be determined “for an instant”, so you can only find average acceleration
ACCELERATION • Determine from the curves on a velocity-time graph • • both the constant and instantaneous acceleration Determine the sign of acceleration using a v-t graph and a motion diagram Calculate the velocity and the displacement of an object undergoing constant acceleration
ACCELERATION • Like speed or velocity, acceleration is a rate of change, defined as the rate of change of velocity • Average Acceleration = change in velocity Elapsed time Units of acceleration?
REARRANGEMENT OF THE EQUATION
FINALLY… • This equation is to be used to find (final) velocity of an accelerating object. You can use it if there is or is not a beginning velocity
DISPLACEMENT UNDER CONSTANT ACCELERATION • Remember that displacement under constant velocity was Δd = vt or d 1 = d 0 + vt n. With acceleration, there is no one single instantaneous v to use, but we could use an average velocity of an accelerating object.
Average velocity of an accelerating object would simply be ½ of sum of beginning and ending velocities Average velocity of an accelerating object V = ½ (v 0 + v 1)
SO……. Key equation
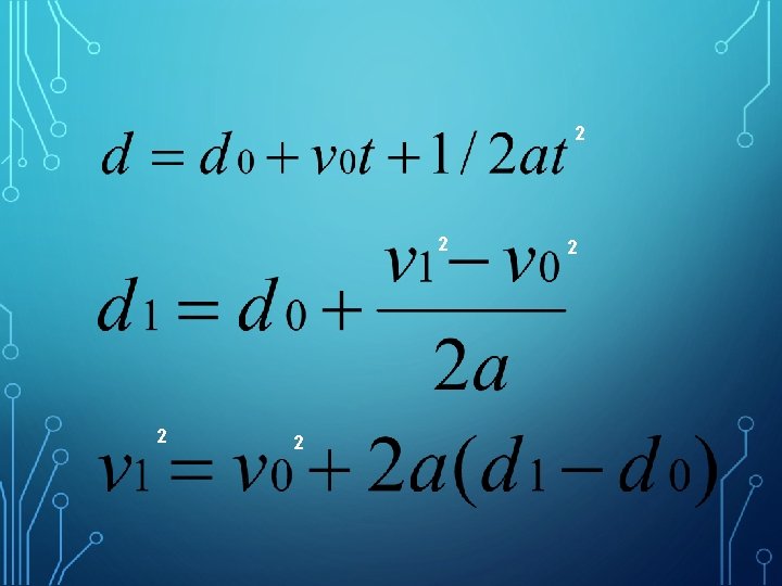
SOME OTHER EQUATIONS 2 This equation is to be used to find final position when there is an initial velocity, but velocity at time t 1 is not known.
IF NO TIME IS KNOWN, USE THIS TO FIND FINAL POSITION…. 2 2
FINDING FINAL VELOCITY IF NO TIME IS KNOWN… 2 2
THE EQUATIONS OF IMPORTANCE
2 2 2
PRACTICAL APPLICATION VELOCITY/POSITION/TIME EQUATIONS • Calculation of arrival times/schedules of aircraft/trains • • • (including vectors) GPS technology (arrival time of signal/distance to satellite) Military targeting/delivery Calculation of Mass movement (glaciers/faults) Ultrasound (speed of sound) (babies/concrete/metals) Sonar (Sound Navigation and Ranging) Auto accident reconstruction Explosives (rate of burn/expansion rates/timing with det. cord)
FREE FALL • Recognize the meaning of the acceleration due to • • gravity Define the magnitude of the acceleration due to gravity as a positive quantity and determine the sign of the acceleration relative to the chosen coordinate system Use the motion equations to solve problems involving freely falling objects
FREEFALL • Defined as the motion of an object if the only force acting on it is gravity. • No friction, no air resistance, no drag
ACCELERATION DUE TO GRAVITY • Galileo Galilei recognized about 400 years ago that, to understand the motion of falling objects, the effects of air or water would have to be ignored. • As a result, we will investigate falling, but only as a result of one force, gravity. Galileo Galilei 1564 -1642
GALILEO’S RAMPS • Because gravity causes objects to move very fast, and because the timekeepers available to Galileo were limited, Galileo used ramps with moveable bells to “slow down” falling objects for accurate timing.
GALILEO’S RAMPS
GALILEO’S RAMPS • To keep “accurate” time, Galileo used a water clock. n For the measurement of time, he employed a large vessel of water placed in an elevated position; to the bottom of this vessel was soldered a pipe of small diameter giving a thin jet of water, which he collected in a small glass during the time of each descent. . . the water thus collected was weighed, after each descent, on a very accurate balance; the difference and ratios of these weights gave us the differences and ratios of the times. . .
DISPLACEMENTS OF FALLING OBJECTS • Looking at his results, Galileo realized that a falling ( • or rolling downhill) object would have displacements that increased as a function of the square of the time, or t 2 Another way to look at it, the velocity of an object increased as a function of the square of time, multiplied by some constant.
• Galileo also found that all objects, no matter what slope of ramp he rolled them down, and as long as the ramps were all the same height, would reach the bottom with the same velocity.
GALILEO’S FINDING • Galileo found that, neglecting friction, all freely falling objects have the same acceleration.
HIPPO & PING PONG BALL In a vacuum, all bodies fall at the same rate. If a hippo and a ping pong ball were dropped from a helicopter in a vacuum (assuming the copter could fly without air), they’d land at the same time. When there’s no air resistance, size and shape matter not!
PROVING GALILEO CORRECT Galileo could not produce a vacuum to prove his ideas. That came later with the invention of a vacuum machine, and the demonstration with a guinea feather and gold coin dropped in a vacuum.
GUINEA FEATHER AND COIN/NASA DEMONSTRATIONS
ACCELERATION DUE TO GRAVITY • Galileo calculated that all freely falling objects accelerate at a rate of 2 9. 8 m/s This value, as an acceleration, is known as g
ACCELERATION DUE TO GRAVITY • Because this value is an acceleration value, it can be used to calculate displacements or velocities using the acceleration equations learned earlier. Just substitute g for the a
EXAMPLE PROBLEM • A brick is dropped from a high building. • • What is it’s velocity after 4. 0 sec. ? How far does the brick fall during this time?
THE CHURCH’S OPPOSITION TO NEW THOUGHT • Church leaders of the time held the same views as Aristotle, the great philosopher. • Aristotle thought that objects of different mass would fall at different rates…makes sense huh? ? ? • All objects have their “natural position”. Rocks fall faster than feathers, so it only made sense (to him) • Galileo, in attempting to convince church leaders that the “natural position” view was incorrect, considered two rocks of different mass.
FALLING ROCK CONUNDRUM • Galileo presented this in his book Dialogue Concerning the Two Chief World Systems(1632) as a discussion between Simplicio (as played by a church leader) and Salviati (as played by Galileo) • Two rocks of different masses are dropped • Massive rock falls faster? ? ?
ROCKS CONTINUED • Now consider the two rocks held together by a length of string. • If the smaller rock were to fall slower, it would impede the rate at which both rocks would fall. • But the two rocks together would actually have more mass, and should therefore fall faster. • A conundrum? ? ? The previously held views could not have been correct.
• Galileo had data which proved Aristotle and the church • wrong, but church leaders were hardly moved in their position that all objects have their “correct position in the world” Furthermore, the use of Simplicio (or simpleton) as the head of the church in his dialog, was a direct insult to the church leaders themselves.