Large Clusters in Cesium Vapor not far from























- Slides: 23
Large Clusters in Cesium Vapor not far from the Critical Point D. I. Zhukhovitskii Joint Institute for High Temperatures, RAS XIXth Research Workshop Nucleation Theory and Applications BLTP, Dubna, Russia, April 1– 30, 2015
Motivation: 1. Development of the universal thermal and caloric equations of state based on the minimum information concerning the substance. 2. Search for new exactly solvable thermodynamic problems. 3. Study of thermodynamic properties of a dense cesium vapor near the critical point. 4. Investigation of the structural transition in the metal “hot” light clusters. 5. Analysis of the rate of homogeneous nucleation in the transitional range.
Outline: 1. The notion of the structural transition in the “hot” lightest clusters. 2. The compressibility factor, the heat capacity, etc. for an ideal mixture of such clusters. 3. Extension of the model to arbitrary-size clusters. 4. Assessment of the structural transition temperature for the cesium clusters. 5. Homogeneous nucleation of cesium vapor in the transitional region.
“Hot” lightest clusters (k = 5) and an embryo-size cluster (k > 30) structural transition “Cold” clusters:
Partition function of a light cluster Above the transition temperature, a light cluster has the minimum number of bonds k – 1 and Then the compressibility factor of a mixture of the lightest clusters is
Compressibility factor for cesium vapor (isotherms) 1 – 1100 K, 2 – 1500 K, 3 – 1900 K, 4 – 2500 K
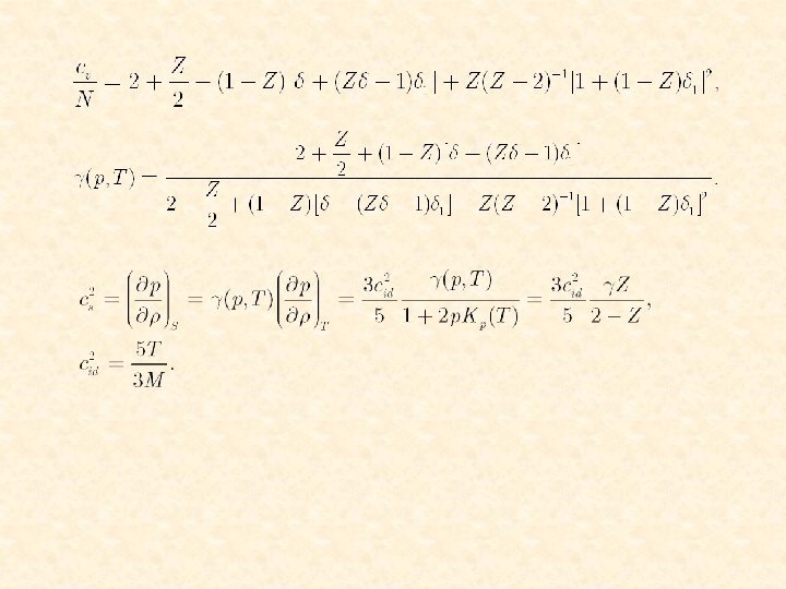
Heat capacity and velocity of sound The internal energy per one molecule of an ideal gas of k-atom clusters is then its heat capacity is The entropy of an ideal mixture of k-atom clusters is whence it follows that
Isobaric heat capacity for cesium in the gaseous state at the isobar 1. 5 MPa
Isobaric heat capacity for cesium at the isotherm
Velocity of sound for cesium in the gaseous state at the isobar 1. 5 MPa
Velocity of sound for cesium in the gaseous state along the saturation line
Velocity of sound for mercury in the gaseous state along the saturation line
Heat capacity ratio for argon along the isobars
Arbitrary size cluster in the “layer over the core” model The size distribution of the clusters partial pressures is The equation with respect to p 1 is Thus, the compressibility factor is The average number of atoms in a cluster is Z– 1 ~ 2.
Compressibility factor for cesium in the gaseous state along the saturation line
Compressibility factor for cesium in the gaseous state along the isobars
Assessment of the structural transition temperature The ratio of the probabilities to find a light cluster in the chain-like and the solid-like state is The characteristic temperature of the structural transition is defined by the equality Pvc = Psol: At large k, we have This equation has two roots if . The width of the temperature transitional range DT is defined by the condition. Hence, , where
Structural transition temperatures for the Lennard-Jones and cesium clusters For the L-J cluster, a/r 0 = 6 and e = 1, then we have For cesium clusters, we estimate a/r 0 = 6 as follows: Thus, (r 0/a)2 = 0. 0747. Since for , the binding energy of a solid-like cluster can be estimated as , where Dk is the binding energy for a bond, we obtain e = 0. 409 and arrive at
Homogeneous nucleation rate of cesium vapor For the critical supersaturation ratio We used the same l = 2. 98 as for the calculation of compressibility factor. The cluster critical size varies from 21 to 57.
Critical supersaturation for the nucleation in cesium vapor
Conclusions 1. Thermal and caloric properties of a dense cesium vapor and of vapors of other substances are satisfactory reproduced by proposed model. 2. For cesium clusters, the structural transition temperature is well above the melting temperature (in contrast to the L-J clusters). 3. Dense cesium fluid in the vicinity of the critical point is a mixture of clusters heavier than dimers. 4. Peculiarity of the homogeneous nucleation of cesium vapor is accounted for by the cluster structural
Thank you for the attension! For more details, visit http: //oivtran. ru/dmr