COMPUNEREA MICRILOR I VITEZA RELATIV Apa unui ru




















- Slides: 20
COMPUNEREA MIŞCĂRILOR ŞI VITEZA RELATIVĂ Apa unui râu curge cu viteza de 1 m/s, iar o barcă se deplasează cu viteza de 3 m/s față de apă. În cât timp parcurge barca distanța de 6 km când se deplasează în sensul de curgere a apei? Dar în sens contrar? (Probleme, întrebări și lucrări experimentale la fizică pentru gimnaziu, F. Mureșanu, Ed. Corint, București, 1997)
O barcă cu motor pleacă de la un debarcader și se întoarce în acelașii loc după 3 ore. Știind că viteza bărcii în apă stătătoare este de 30 km/h și viteza curentului râului pe care ea circula este de 5 km/h, la ce distanță de debarcader poate ajunge barca? (Probleme, întrebări și lucrări experimentale la fizică pentru gimnaziu, F. Mureșanu, Ed. Corint, București, 1997) (în același sens cu curentul) (în sens opus curentului)
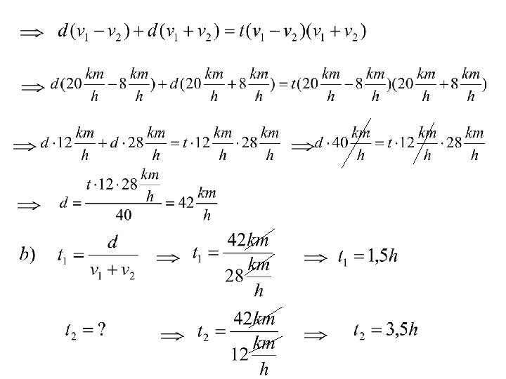
O barcă cu motor are viteza v 1=20 km/h. Ea pleacă din localitatea A spre localitatea B, pe un râu în aval şi apoi se întoarce. a)Ştiind că viteza apei este v 2=8 km/h, să se afle distanţa AB, dacă barca se întoarce în A după 5 h de la plecarea ei din A. b) Să se afle în cât timp este parcursă distanţa AB la ducere , respectiv la întoarcere. (Gazeta de fizica-chimie, problema 5593/nr. 2/1986) - în aval: -în amonte:
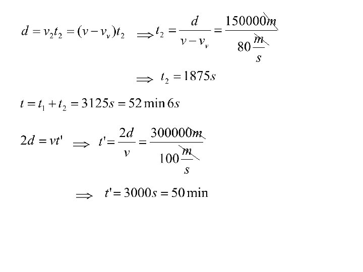
Un avion parcurge distanţa d=150 km dus şi întors cu viteza v=360 km/h faţă de aer. Cât timp durează zborul dacă vântul suflă cu viteza de 20 m/s, iar avionul se deplasează pe direcţia vântului? Dar dacă nu sufla vântul? (avionul se deplasează în acelaşi sens cu vântul) (avionul se deplasează sens opus cu cel al vântului)
Două trenuri cu lungimea de 360 m fiecare se deplasează pe șine paralele , rectilinii, unul spre celălalt , cu viteze egale v=54 km/h. Cât timp va trece de la întâlnirea lor până în momentul când ultimele vagoane se vor despărți? (Probleme, întrebări și lucrări experimentale la fizică pentru gimnaziu, F. Mureșanu, Ed. Corint, București, 1997) (la întâlnire) (la despărțire)
O grupă de turişti, mişcându-se în lanţ cu viteza de 3, 6 km/h pe marginea unui drum, s-a întins pe 200 m. Turistul care încheie coloana trimite un biciclist la călăuza care merge în capul coloanei. Biciclistul se deplasează cu viteza de 7 m/s; îndeplinind ordinul, se întoarce imediat cu aceiaşi viteză la cel ce încheie coloana. Cât timp s-a aflat biciclistul în mişcare? (Probleme, întrebări și lucrări experimentale la fizică pentru gimnaziu, F. Mureșanu, Ed. Corint, București, 1997) La dus , biciclistul strabăte distanţa l cu viteza (relativă la coloană) cu viteza :
La întors , biciclistul strabăte distanţa l cu viteza (relativă la coloană) cu viteza :
O macara ridică un corp. Viteza de deplasare a macaralei faţă de pământ este 24 m/min, iar viteza de ridicare a corpului este 12 m/min. Presupunânâd că mişcarea macaralei se face în acelaşi timp cu ridicarea corpului, să se afle: a) viteza absolută a corpului; b) spaţiul parcurs în 12 s. c) viteza (relativă) corpului faţă de macara.
Prin viteză relativă se întelege: Viteza corpului (v 1) faţă de macara (v 2) este definită ca: Viteza macaralei (v 2) faţă de corp (v 1) este definită ca:
Ploaia cade pe geamul lateral al unei maşini cu viteza vp=34, 6 m/s. Cu ce viteză va , trebuie să mişte maşina, faţă de pământ, pentru ca picăturile de ploaie să alunece pe geam sub ununghi de 300? .
O barcă treversează un râu. Curentul apei are viteza de 3 m/s, pe toată lăţimea râului. Barca este propulsată perpendicular pe cursul râului, de propiul motor, cu viteza de 4 m/s. Să se determine: a) viteza absolultă a bărcii faţă de mal; b) ce spaţiu străbate barca în timpul traversării, dacă lăţimea râului este de 120 m? c) viteza bărcii faţă de apă.
Viteza relativă se defineşte ca fiind Δv. 1. Viteza bărcii faţă de apă este: 2. Viteza apei faţă de barcă este: În ambele cazuri :
Un râu are lăţimea de. Curentul apei are viteza de 3 m/s. Un barcagiu vrea să traverseze râul, perpendicular pe direcţia lui, în 40 s. Să se determine vitya dezvoltată de motorul bărcii şi sub ce unghi trebuie să fie asezată barca, faţă de direcţia curentului de apă? (Cateta , va, este jumătate din ipotenuză, vb. )
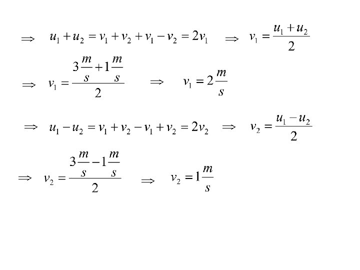
Două corpuri se mişcă unul spre celalalt, şi distanţa dintre ele se micşorează cu u 1=3 m/s. Dacă aceste două corpuri se miscă unul după altul, cu aceleaşi viteze, distanţa dintre ele se micşorează cu u 2=1 m/s. Care sunt vitezele corpurilor? (Probleme de fizică pentru clasele IX-X. . u 1 este viteza relativă a corpului (1) faţă de corpul (2). Corpurile se deplasează în sensuri opuse. u 2 este viteza relativă a corpului (1) faţă de corpul (2). Corpurile se deplasează în acelaşi sens.
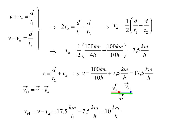
O salupă se mişcă pe un râu între două poduri situate la distanţa de 100 km unul de altul. Şalupa parcurge această distanţa în sensul curentului în timpul t 1=4 h iar în contra curentului în timpul t 2=10 h. Să se stabileasca viteza curentului de apă va şi viteza şalupei faţă de apă (viteza relativă) v 1 şi v 2. ( Culegere de probleme de fizică pentru clasele I-VIII, C. Vintilă, I. Oltean-EDP, Bucureşti, 1974 )