ANTICONVULSANT OR ANTIEPILEPTIC DRUGS Epilepsy Sudden and excessive





















![Ureas and Monoacylureas Carbamazepine Phenacemide 5 H-Dibenz[ b, f]azepine-5 -carboxamide Phenylacetylurea benzo[b][1]benzazepine-11 -carboxamide Use: Ureas and Monoacylureas Carbamazepine Phenacemide 5 H-Dibenz[ b, f]azepine-5 -carboxamide Phenylacetylurea benzo[b][1]benzazepine-11 -carboxamide Use:](https://slidetodoc.com/presentation_image_h/9112d3e1094f7290a59d87a6efd22a3a/image-22.jpg)






- Slides: 28
ANTICONVULSANT OR ANTIEPILEPTIC DRUGS Epilepsy: Sudden and excessive electrical activity in brain (excessive firing of neurons).
Anticonvulsant or Antiepileptic drugs Drugs used to control (prevent) seizures (convulsions) or stop an ongoing series of seizures. Antiepileptic agent An agent used medically to control epilepsies, not all of which are convulsive, in humans.
Epilepsy: Classification § § Ø Ø § Partial(local, focal) seizures Simple (consciousness not impaired) Complex partial seizures (psychomotor seizures) Beginning as simple partial seizures, progressing to complex seizures With impairment of consciousness at onset Partial seizures evolving to secondarily generalized tonic- clonic convulsions
Movements such as turning the head, eye movements, smacking the lips, mouth movements, drooling, rhythmic muscle contractions in a part of the body, abnormal numbness, tingling, and a crawling sensation over the skin Complex partial seizure is represented by the psychomotor or temporal lobe seizure.
Classification Epilepsy: Sudden and excessive electrical activity in brain (excessive firing of neurons). § Ø Ø § § § Generalized seizures (convulsive or nonconvulsive) Absence seizures Typical (petit mal) Atypical Myoclonic Clonic Tonic- clonic (grand mal) Atonic Unclassified epileptic seizures (includes some neonatal seizures)
Physiology & Pharmacology
Physiology & Pharmacology • GABAA Receptors (a) drugs that enhance the biosynthesis of GABA (gabapentin, pregabalin, and VPA) (b) drugs that inhibit GABA degradation (vigabatrin) Targets of AED • VOLTAGE-GATED SODIUM CHANNELS (c)drugs that inhibit the reuptake of GABA (tiagabine) phenytoin, CBZ, and lamotrigine newer AEDs, such as OXC, felbamate, and zonisamide (d)drugs that bind to an allosteric site (barbiturates, BZDs, neurosteroids, FBM, TPM) • VOLTAGE-GATED CALCIUM CHANNELS Gabapentin, pregabalin, ethosuximide and zonisamide • VOLTAGE-GATED POTASSIUM CHANNELS Levetiracetam • Excitatory Glutamate-Mediated Receptors The ligand-gated glutamate receptors such as N-methyl-D-aspartic acid (NMDA) amino-3 -hydroxyl-5 -methyl-4 -isoxazole propionic acid (AMPA) -Topiramate
Classification of Antiepileptic agents Barbiturates: Phenobarbital Benzodiazepines: Clonazepam Hydantoins: Phenytoin Oxazolidinediones: Trimethadone paramethadione Succinimides: Phensuximide
Ureas and Monoacylureas: Carbamazepine Miscellaneous agents: Primidone progabide
Antiepiletic agents: SAR Barbiturates Structure common to anticonvulsant drugs. Hydantoins Oxazolidinediones Succinimides Phenacemide
Antiepileptic agents: SAR R and R’ should both be hydrocarbon radicals. Phenytoin R and R’ are lower alkyls, the agent is active against absence seizures(petit mal) and not active against generalized tonic-clonic(grand mal) or partial seizures. Trimethadione
Antiepileptic agents: SAR If one of the hydrocarbon substituent is an aryl group, activity tends to be directed towards generalized tonic-clonic and partial seizures, and not towards antiabsence activity. Mephenytoin Phensuximide The conformational arrangement of hydrophobic group is important for antigeneralized tonic-clonic activity.
Antiepileptic agents: Mechanism of Action Basic action: To decrease electrical excitability at the site or at adjacent or recruited neurons. v Ø Ø Ø Ion channels Voltage-dependent sodium channels After each depolarization , it adopts an inactive state and remain refractory to re-opening for a period of time. While the channels are unable to open, rapid repetitive firing is diminished, and spread of electrical seizure activity to adjacent brain regions is suppressed. Stabilization and prolongation of this inactive state appears to be the primary MOA of phenytoin, carbamazepine and valproic acid against generalized tonic-clonic seizures. v Synaptic inhibition and excitation Enhancement of GABAergic transmission: Ø Benzodiazepines and valproic acid against absence seizures. q
Mechanisms of antiseizure drugs. (A) Drugs for partial seizures: 1) Seizure activity spreads due to loss of surround inhibition; 2) drugs act in the surrounding region to 3) enhance –GABA activity or prolong Na+ channel inactivation.
(B) Drugs for absence seizures: 1) The seizure activity results from cyclic activity between the thalamus and the cortex; 2) drugs prevent synchronization
A summary of the sites of action for the antiepileptic drugs
Hydantoins Phenytoin Mephenytoin 5, 5 -Diphenylhydantoin 5, 5 -diphenylimidazolidine-2, 4 -dione First anticonvulsant acts through its action at the VGSC Use : all seizure types except absence Metabolism: p-Hydroxylation of aromatic ring N-dealkylated to 5 -Ethyl-5 -phenylhydantoin Use: similar to phenytoin Toxicity: Serious skin and blood disorders Metabolism: p-Hydroxylation of aromatic ring
Oxazolidinediones Trimethadione Paramethadione 3, 5, 5 -trimethyl-1, 3 -oxazolidine-2, 4 dione Use: first drug against absence seizures. acts by decreasing T-type calcium currents Toxicity: dermatologic and hematologic, malformations or fetal death in up to 87% of pregnancies Metabolism: N-Demethylation to give active dimethadione, water soluble and excreted without further metabolism. 5 -ethyl-3, 5 -dimethyl-1, 3 -oxazolidine-2, 4 dione Similar action, uses and side effects of trimethadione Metabolism: N-Demethylation
Succinimides Ethosuximide Phensuximide 1 -methyl-3 -phenylpyrrolidine-2, 5 dione Use: Primary, absence seizures some activity against generalized tonic- clonic seizures. decrease in T-type calcium channel activity q N-Demethylation gives active metabolite q Metabolism: p-Hydroxylation of aromatic group 3 -ethyl-3 -methylpyrrolidine-2, 5 dione Use: drug of choice for typical absence seizures. More active and less toxic than trimethadione Toxicity: skin and blood Metabolism: some drug released intact.
Ureas and Monoacylureas Carbamazepine Phenacemide 5 H-Dibenz[ b, f]azepine-5 -carboxamide Phenylacetylurea benzo[b][1]benzazepine-11 -carboxamide Use: complex partial, tonic-clonic, and Use: psychomotor epilepsy Side effects: personality changes, blood, renal and skin disorders Metabolism: p-hydroxylation mixed-type seizures. acts through its action at the VGSC to prevent the spread of seizures. Toxicity: Serious hematologic Metabolism: Epoxide at cis-stilbene double bond, get converted to 10 S, 11 S trans-diol in humans.
Miscellaneous Agents Primidone 5 -Ethyldihydro-5 -phenyl-4, 6(1 H, 5 H)pyrimidinedione Valproic acid 5 -ethyl-5 -phenyl-1, 3 -diazinane-4, 6 dione Use: simple partial, complex partial, and tonic-clonic seizures. . Converted to phenobarbital and phenylethylmalonyldiamide Sometimes also called as 2 deoxybarbiturate 2 -Propylpentanoic acid Use: good potency - absence seizures. Metabolism: conjugation of the carboxylic acid group and oxidation of one hydrocarbon chain.
VIGABATRIN 4 -aminohex-5 -enoic acid • Vigabatrin is γ-vinyl GABA, a synthetic derivative of GABA that was FDA approved in 2009 • monotherapy in the treatment of infantile spasms (West syndrome) in children of 1 month to 2 years of age and as adjunctive treatment of adults with refractory complex partial seizures exact mechanism for vigabatrin’s anticonvulsant effect is unclear, the drug is known to be an irreversible inhibitor of GABA transaminase, the enzyme responsible for GABA degradation
6 -(2, 3 -dichlorophenyl)-1, 2, 4 -triazine-3, 5 -diamine
N-Bromosuccinimide Phosgene
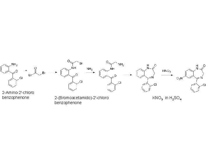
2 -Amino-2'-chloro benzophenone 2 -(Bromoacetamido)-2'-chloro benzophenone KNO 3 in H 2 SO 4
Thank you