Use of moment generating functions Definition Let X






































- Slides: 38
Use of moment generating functions
Definition Let X denote a random variable with probability density function f(x) if continuous (probability mass function p(x) if discrete) Then m. X(t) = the moment generating function of X
The distribution of a random variable X is described by either 1. The density function f(x) if X continuous (probability mass function p(x) if X discrete), or 2. The cumulative distribution function F(x), or 3. The moment generating function m. X(t)
Properties 1. m. X(0) = 1 2. 3.
4. Let X be a random variable with moment generating function m. X(t). Let Y = b. X + a Then m. Y(t) = mb. X + a(t) = E(e [b. X + a]t) = eatm. X (bt) 5. Let X and Y be two independent random variables with moment generating function m. X(t) and m. Y(t). Then m. X+Y(t) = m. X (t) m. Y (t)
6. Let X and Y be two random variables with moment generating function m. X(t) and m. Y(t) and two distribution functions FX(x) and FY(y) respectively. Let m. X (t) = m. Y (t) then FX(x) = FY(x). This ensures that the distribution of a random variable can be identified by its moment generating function
M. G. F. ’s - Continuous distributions
M. G. F. ’s - Discrete distributions
Moment generating function of the gamma distribution where
using or
then
Moment generating function of the Standard Normal distribution where thus
We will use
Note: Also
Note: Also
Equating coefficients of tk, we get
Using of moment generating functions to find the distribution of functions of Random Variables
Example Suppose that X has a normal distribution with mean m and standard deviation s. Find the distribution of Y = a. X + b Solution: = the moment generating function of the normal distribution with mean am + b and variance a 2 s 2.
Thus Y = a. X + b has a normal distribution with mean am + b and variance a 2 s 2. Special Case: the z transformation Thus Z has a standard normal distribution.
Example Suppose that X and Y are independent each having a normal distribution with means m. X and m. Y , standard deviations s. X and s. Y Find the distribution of S = X + Y Solution: Now
or = the moment generating function of the normal distribution with mean m. X + m. Y and variance Thus Y = X + Y has a normal distribution with mean m. X + m. Y and variance
Example Suppose that X and Y are independent each having a normal distribution with means m. X and m. Y , standard deviations s. X and s. Y Find the distribution of L = a. X + b. Y Solution: Now
or = the moment generating function of the normal distribution with mean am. X + bm. Y and variance Thus Y = a. X + b. Y has a normal distribution with mean am. X + Bm. Y and variance
Special Case: a = +1 and b = -1. Thus Y = X - Y has a normal distribution with mean m. X - m. Y and variance
Example (Extension to n independent RV’s) Suppose that X 1, X 2, …, Xn are independent each having a normal distribution with means mi, standard deviations si (for i = 1, 2, … , n) Find the distribution of L = a 1 X 1 + a 1 X 2 + …+ an. Xn Solution: (for i = 1, 2, … , n) Now
or = the moment generating function of the normal distribution with mean and variance Thus Y = a 1 X 1 + … + an. Xn has a normal distribution with mean a 1 m 1 + …+ anmn and variance
Special case: In this case X 1, X 2, …, Xn is a sample from a normal distribution with mean m, and standard deviations s, and
Thus has a normal distribution with mean and variance
Summary If x 1, x 2, …, xn is a sample from a normal distribution with mean m, and standard deviations s, then has a normal distribution with mean and variance
Sampling distribution of Population
The Central Limit theorem If x 1, x 2, …, xn is a sample from a distribution with mean m, and standard deviations s, then if n is large has a normal distribution with mean and variance
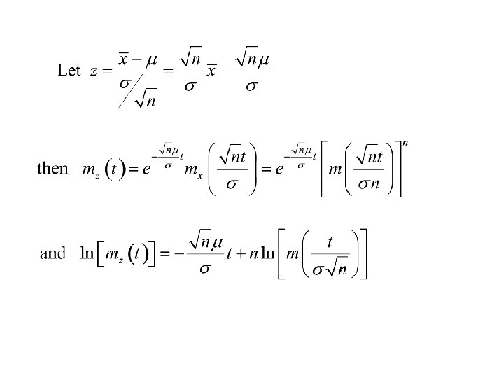
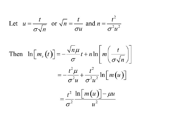
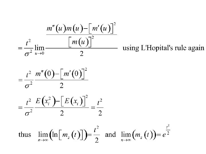
Proof: (use moment generating functions) We will use the following fact: Let m 1(t), m 2(t), … denote a sequence of moment generating functions corresponding to the sequence of distribution functions: F 1(x) , F 2(x), … Let m(t) be a moment generating function corresponding to the distribution function F(x) then if then
Let x 1, x 2, … denote a sequence of independent random variables coming from a distribution with moment generating function m(t) and distribution function F(x). Let Sn = x 1 + x 2 + … + xn then
Is the moment generating function of the standard normal distribution Thus the limiting distribution of z is the standard normal distribution Q. E. D.