Trasformatore Macchina elettrica statica Opera conversioni energetiche esclusivamente


















- Slides: 18
Trasformatore • Macchina elettrica statica • Opera conversioni energetiche esclusivamente di tipo elettrico • Il funzionamento è legato alle interazioni tra corrente e induzione magnetica
Costituzione • • Nucleo magnetico Avvolgimenti Isolamenti Elementi strutturali Avvolgimento primario Avvolgimento secondario
Simboli grafici
Trasformatore Ideale Si ipotizzano gli avvolgimenti con resistenza nulla, non si hanno quindi perdite per effetto Joule Non si hanno flussi dispersi, tutto il flusso magnetico prodotto si concatena completamente con i due avvolgimenti La permeabilità del circuito magnetico è infinita, questo comporta che per produrre il flusso magnetico è sufficiente una corrente magnetizzante nulla o comunque piccolissima Le perdite nel ferro, dovute a isteresi e correnti parassite, sono considerate nulle
Principio di funzionamento • • • La corrente che circola nell’avvolgimento primario genera un flusso che percorre il circuito magnetico Il flusso viene poi raccolto dall’avvolgimento secondario In base alla legge di Faraday. Neumann-Lenz, se il flusso è variabile, si genera in questo avvolgimento una f. e. m. indotta Anche al primario si genera una f. e. m. indotta, che si oppone alla variazione del flusso. Questa f. e. m. contrasta la tensione di alimentazione, che altrimenti trovando un circuito con resistenza nulla darebbe luogo a una corrente elevatissima. Per questo motivo un trasformatore non deve lavorare in corrente continua, in quanto – – senza flusso variabile non si genera tensione al secondario si rischia di danneggiare il circuito primario facendolo attraversare da una corrente altissima e 1 e 2
V 1 e 1 V 2 e 2 Flusso concatenato con l’avvolgimento primario I) Flusso concatenato con l’avvolgimento secondario II)
V 1 e 2 V 2 Rapporto di Trasformazione t
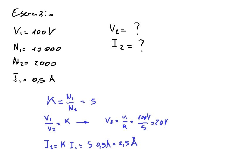
Determinare il valore di V 2 (tralasciando il segno)
Determinare il valore di N 2
Determinare il valore di V 2
Dagli esercizi precedenti si può osservare che se Si ottiene Si parla quindi di K>1 Se invece Si ottiene K<1
In alcuni casi si utilizza anche Ottenendo ovviamente Trasformatori di questo tipo sono utilizzati come Trasformatori di Isolamento.
Funzionamento sotto carico I 2 V 1 e 2 V 2 ZC
Rapporto di trasformazione K
Le correnti hanno un rapporto di trasformazione inverso a quello delle tensioni
Riporto impedenze al primario Facendo il rapporto tra le due espressioni