The effect of applied pressure on vapor pressure

  • Slides: 20
Download presentation
The effect of applied pressure on vapor pressure

The effect of applied pressure on vapor pressure

The location of phase boundaries Pressure and temperature at which two phases can coexist.

The location of phase boundaries Pressure and temperature at which two phases can coexist. There is a relation between dp and d. T that ensures that the system remains in equilibrium as either variable is changed.

Relation between dp and d. T

Relation between dp and d. T

The solid –liquid boundary

The solid –liquid boundary

Liquid –Vapour boundary

Liquid –Vapour boundary

Solid-Vapour Boundary 1 bar

Solid-Vapour Boundary 1 bar

Phase Rule F=C-P+2 C = number of component

Phase Rule F=C-P+2 C = number of component

Total number of intensive variable = pc +2 Mole fraction of components in each

Total number of intensive variable = pc +2 Mole fraction of components in each phase must be one Number of relation =number of phases= p For chemical equilibrium, Chemical potential of individual component will be same in each of the phases. In each of the component (p-1) relation for each of the component Total number of relation for chemical equilibrium = c(p-1) Degree of Freedom = pc + 2 – p - c(p-1) =c–p+2

What happens to boiling point or freezing point of a liquid in the presence

What happens to boiling point or freezing point of a liquid in the presence of a solute? What happens to chemical potential of a liquid in the presence of solute?

There is elevation of boiling point upon addition of a solute. There is depression

There is elevation of boiling point upon addition of a solute. There is depression of freezing point upon addition of a solute.

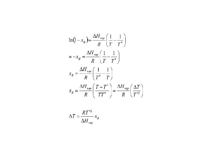
The elevation of boiling point

The elevation of boiling point

The depression of Freezing point Solubility Solutes with high melting points and large enthalpies

The depression of Freezing point Solubility Solutes with high melting points and large enthalpies of melting have low solubilities at normal temperature.

Two component liquid Systems F=C-P+2 F=4 -P Maximum degree of freedom = 3 Temperature,

Two component liquid Systems F=C-P+2 F=4 -P Maximum degree of freedom = 3 Temperature, pressure and composition.

Q. One mole of benzene is mixed with two moles of toluene. At 60

Q. One mole of benzene is mixed with two moles of toluene. At 60 C , the vapor pressure of benzene and toluene are 51. 3 and 18. 5 k. Pa, respectively. (a) As the pressure is reduced, at what pressure will boiling begin? (b) What will be the composition of the first bubble of vapor?