Rotating solid Euler predicted free nutation of the

  • Slides: 21
Download presentation

Rotating solid Euler predicted free nutation of the rotating Earth in 1755 Discovered by

Rotating solid Euler predicted free nutation of the rotating Earth in 1755 Discovered by Chandler in 1891 Data from International Latitude Observatories setup in 1899

Monthly data, t = 1 month. Work with complex-values, Z(t) = X(t) + i.

Monthly data, t = 1 month. Work with complex-values, Z(t) = X(t) + i. Y(t). Compute the location differences, Z(t), and then the finite FT d. ZT( ) = t=0 T-1 exp {-i t}[Z(t+1)-Z(t)] Periodogram IZZT( ) = (2 T)-1|d. ZT( )|2

variance

variance

Appendix C. Spectral Domain Theory

Appendix C. Spectral Domain Theory

4. 3 Spectral distribution function Cp. rv’s

4. 3 Spectral distribution function Cp. rv’s

f is non-negative, symmetric(, periodic) White noise. (h) = cov{x t+h, xt} = w

f is non-negative, symmetric(, periodic) White noise. (h) = cov{x t+h, xt} = w 2 h=0 f( ) = w 2 and otherwise = 0

d. F( )/d = f( ) if differentiable d. F( ) = f( )d

d. F( )/d = f( ) if differentiable d. F( ) = f( )d

Dirac delta function, ( ) a generalized function simplifies many t. s. manipulations r.

Dirac delta function, ( ) a generalized function simplifies many t. s. manipulations r. v. X Prob{X = 0} = 1 P(x) = Prob{X x} = 1 if x 0 = 0 if x < 0 = H(x) Heavyside E{g(X)} = g(0) = g(x) d. P(x) = g(x) dx (x) density function = d. H(x)/dx

Approximant X N(0, 2 ) (x/ )/ with small E{g(X)} g(0) cov{d. Z( 1),

Approximant X N(0, 2 ) (x/ )/ with small E{g(X)} g(0) cov{d. Z( 1), d. Z( 2)} = ( 1 – 2) f( 1) d 1 d 2 Means 0 cov{X, Y} = E{X conjg(Y)} var{X} = E{|X|2}

Example. Bay of Fundy

Example. Bay of Fundy

flattened

flattened

Periodogram Mean“correction” “sample spectral density”

Periodogram Mean“correction” “sample spectral density”

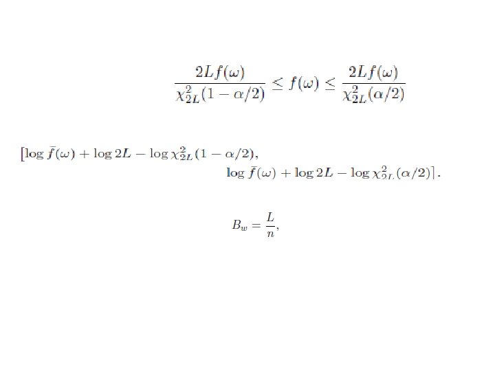
Non parametric spectral estimation. L = 2 m+1

Non parametric spectral estimation. L = 2 m+1