Regresin Lineal Simple Diana Ruiz Tinajero Una de

















- Slides: 17
Regresión Lineal Simple Diana Ruiz Tinajero.
Una de las principales ventajas encontradas para la regresión lineal en el mundo empresarial es la capacidad que tiene de analizar tendencias de datos históricos para poder predecir comportamientos futuros de variables tan decisivas como las ventas, los costos, tipos de cambios, comportamiento de la demanda, oferta, índices de precios al consumidor, inflación, producción etc.
La regresión permite analizar tendencias basadas en datos históricos, sin embargo es importante tomar en cuenta que se pueden generar grandes desviaciones al no tener en cuenta fenómenos que se estén presentando y que puedan afectar a la empresa.
• El concepto de regresión lineal tiene como función primordial el determinar el grado en que se relacionan dos variables cualesquiera, las cuales se denominan variable independiente “x” y variable dependiente “y” mediante una técnica llamada mínimos cuadrados. • Dicha técnica se basa en encontrar la distancia mínima entre los puntos reales obtenidos de mediciones históricas y una recta estimada que represente todos los puntos.
Ejemplo Con base en las cifras presentadas por el servicio de renta interna (SRI), un grupo nacional de ciudadanos ha expresado su preocupación porque el presupuesto para éste no sea utilizado efectivamente. El SRI argumentó que el incremento en el número de contribuyentes que presenta su declaración de renta explica los problemas de presupuesto. A continuación se proporcionan los datos relevantes. Realice un análisis de regresión para justificar la afirmación. Año Declaración de renta (millones de $) Presupuesto del SRI (en miles de millones de $) 1 116 6. 7 2 116 6. 2 3 118 5. 4 4 118 5. 9 5 120 3. 7 6 117 5. 9 7 118 4. 7 8 121 4. 2
Diagrama de dispersión Estándar Presupuesto del SRI (miles de millones de $) Estándar Estándar Estándar Estándar Declaraciòn de renta (millones de $ ) Estándar Se observa que existe una relación lineal negativa por la dispersión de los datos alrededor de la línea recta
Método de mínimos cuadrados Declaración de renta (millones de $) X X 2 Presupuesto del SRI (en miles de millones de $) Y Y 2 XY 116 6. 7 13456 44. 89 777. 2 116 6. 2 13456 38. 44 719. 2 118 5. 4 13924 29. 16 637. 2 118 5. 9 13924 34. 81 696. 2 120 3. 7 14400 13. 69 444 117 5. 9 13689 34. 81 690. 3 118 4. 7 13924 22. 09 554. 6 121 4. 2 14641 17. 64 508. 2 944 42. 7 111414 235. 53 5026. 9
Cálculo de los coeficientes de regresión
Parámetros del modelo de regresión Ecuación de regresión es: De acuerdo con los datos obtenidos se observa que existe una relación negativa, es decir al aumentar el presupuesto se reducen las declaraciones.
Coeficiente de determinación • Se puede calcular el coeficiente de determinación, a fin de evaluar qué tan correcta es la estimación de la recta de regresión. • El coeficiente de determinación r² se calcula como:
Valores para el coeficiente de determinación Y 6. 7 6. 4011 1. 8564 0. 0893 6. 2 6. 4011 0. 7439 0. 0405 5. 4 5. 3375 0. 0039 5. 3375 0. 3164 3. 7 4. 2739 2. 6814 0. 3294 5. 9 5. 8693 0. 3164 0. 0009 4. 7 5. 3375 0. 4064 4. 2 3. 7420 1. 2939 0. 2098 944 42. 7 7. 6187 1. 3966
Coeficiente de determinación Interpretación: Solo el 81. 67% del presupuesto del SRI se explica mediante los cambios en la declaración de la renta; también se puede interpretar como un cambio en la declaración de la renta explica el 81. 67% de la variación en el presupuesto del SRI. Coeficiente de correlación Interpretación: El coeficiente de correlación indica que existe una relación negativa fuerte entre las variables, es decir al aumentar la declaración de renta, disminuye el presupuesto del SRI.
Intervalos de confianza También es posible calcular intervalos de confianza para la estimación. Para ello es necesario calcular el error estándar de la estimación.
Nivel de confianza 68% Z Fórmula 1 y’ ± Se 95% 2 y’ ± 2 Se 99% 3 y’ ± 3 Se
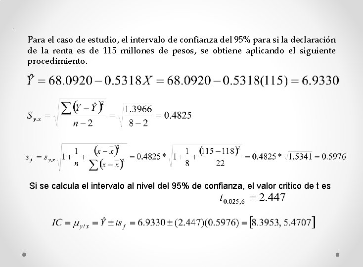
. Para el caso de estudio, el intervalo de confianza del 95% para si la declaración de la renta es de 115 millones de pesos, se obtiene aplicando el siguiente procedimiento. Si se calcula el intervalo al nivel del 95% de confianza, el valor critico de t es
Conclusión Una vez realizado el análisis de regresión, podemos concluir que la declaración tiene una relación lineal negativa con el presupuesto, esto es, que al aumentar las declaraciones se reduce el Presupuesto, por tanto la afirmación inicial es correcta con un grado de certeza del 81%. Y mediante la ecuación de regresión se puede pronosticar el presupuesto de una año con base en las declaraciones realizadas.