Kzssgek diverzits fajteltds Diversity is a deceptive concept























![A Shannon (or Shannon. Wiener) diverzitás HS = - i[pi*log(pi)] -Fajszáma és egyenletességre érzékeny A Shannon (or Shannon. Wiener) diverzitás HS = - i[pi*log(pi)] -Fajszáma és egyenletességre érzékeny](https://slidetodoc.com/presentation_image_h/c10d368c8f8c005c360490db5d221fc6/image-24.jpg)






- Slides: 30
Közösségek: diverzitás, fajtelítődés
„Diversity is a deceptive concept. Magurran (1991) likens the concept of diversity to an optical illusion; the more it is examined, the less clear it becomes. ” (P. Shaw)
Vázlat Diverzitási típusok Faj-abundancia görbék Diverzitási indexek Alkalmazhatóság…
Miért kvantifikáljuk a (bio)diverzitást? Kezdetben, Nagyobb diverzitás, = Ökológiai rendszerek nagyobb stabilitása* Napjainkban, Becsülni és követni a változásokat *Mac. Arthur, R. 1955. Fluctuations of animal populations and a measure of community stability. Ecology 35: 533 -536
Hogyan mérhetjük a (bio)diverzitást? • Funkcionális kategóriák – közösségek, fajok, gének • Elméleti kategóriák* – Alpha – Béta – Gamma * Whittaker, R. H. 1960. Vegetation of the Siskiyou Mountains, Oregon and California. Ecol. Mono. 30: 279 -338.
Faj gazdagság „Fajgazdagság = biodiverzitás” Összes fajok (adott taxon) száma egy adott élőhelyen. (-) extrémen érzékerny a ritka fajokra (-) A fajlista robusztussága – „több minta - több faj” Megoldás: Bootstrapping, Fajtelítődés.
Lokális fajgazdagság kvantifikálása - A pontos fajszámbecslés fontos mert ezek képezik számos ökológiai modell alapján, melyek gyakorlati természetvédelemnek szolgáltatnak információkat - A fajgazdagság becsült, nem pedig mért, számos hibaforrás lehet (Gotelli and Colwell 2001) - Két gyakori megközelítés: egyed alapú becslés, minta alapú becslés.
Hány fafaj van egy erdőben? egyed alapú becslés: válassz random egy fát, és jegyezd fel a fafajokat sorrendben fáról fára minta alapú becslés (egyszerűbb és gyakoribb…): jelölj ki egy mintavételi helyet – összes fa faj + egyedszáma – további mintavételi helyek Az ismétlési egységek különbségei (egyedek vs. minták egyedei) Hatással vannak a fajszám alakulására Téglalap alakú kvadrátban 25 % több fajt találunk mint egy négyzet alakúban ugyanazon területen (Condit et al. 1996) Miért?
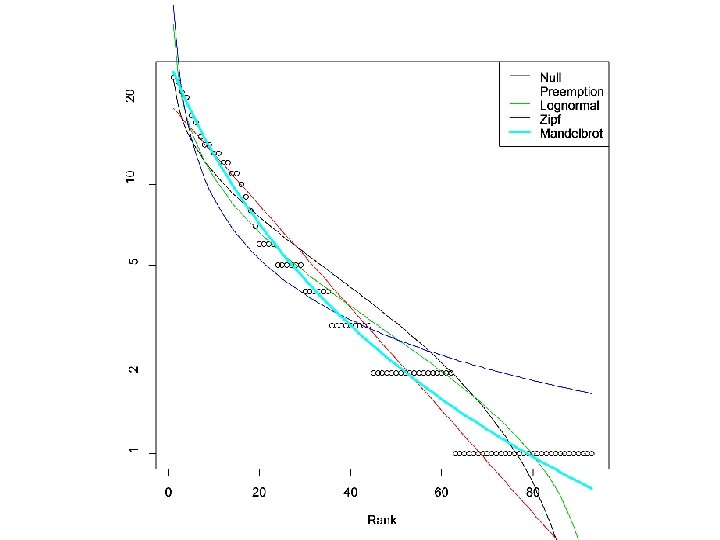
A diverzitás (mintázat) „felfedezése” Fisher (1943) szerint nem létezik olyan közösség ahol az egyedek egyenlő arányban vannak jelen, ellenben néhány faj általában tömeges és a fajok nagy része alacsony egyedszámban van jelen. Ez a megfigyelés vezetett a faj-abundancia modellek kialakulásához (including May’s (1975) lognormal fajabundancia modellje) Habár a faj-abundancia adatok gyakran valamilyen eloszlási típusba (normál, poisson, stb. ) osztályba soroltak, a diverztiást általában négy fontosabb faj-abundancia modellel vizsgálják (log normal, geometrikus, logaritmikus, Mac. Arthur-féle törött pálca modell)
Ökológiai rendszerek diverzitásának két arca: fajszám (=gazdagság) egyenletesség Rendzser, N=30, S=3. - Melyik a diverzebb? Sp. A Sp. B Sp. C 10 10 10 Ezzel mi van? Sp. A Sp. B Sp. C 1 1 28 A B C 10 2 3 D E F 1 1 1
Egyenlő diverzitás? N=16; S=4 Habitat 1 (alacsony diverzitás) Habitat 2 (magas diverzitás)
Diverzitási típusok α, ß és γ α - diverzitás, szervezetek diverzitása egy élőhelyen vagy mintán belül, - diverzitási indexek, rang-abundancia modellek ß - diverzitás, is az alfa diverzitás növekedésének becslésére szolgáló index, új élőhelyek bevonásával, tehát fajkicserélődési ráta egy térbeli grádiens mentén γ – diverzitás, teljes diverzitás (fajgazdagság) tájképi szinten
Diverzitás még…. Skála: a három megközelítés inherens módon skálafüggő mikro-, makrohabitat, tájképi szintű hatások Skála/vektor: α és γ diverzitás skaláris mennyiségek: Pl. : egyszerű számmal megadhatóak. ß - diverzitás egy vektor: irányultsága és nagysága megadható
Bootstrapping Fajelőfordulás és növekvő mintaelem szám viszonya Hány fajunk lenne, ha a végtelen sok mintát gyűjtünk – egy adott élőhely becsült fajgazdagsága Interpoláció – eltérő intenzitással mintázott élőhelyek összehasonlítása fajszám Extrapoláció – mennyit kellene még gyűjteni a maximális S -ig? mintaszám
fajtelítődés Eltérő intenzitással mintázott élőhelyek összehasonlítása Pl. : mekkora lenne a fajszám ha egy 1000 mintánk lenne minden időpontból? S m) ES(m)=Σ(1 -(1 -p ) i i=1
Rang dominancia görbék - A relatív gyakoriság vizuális prezentációja Y tengely - log(denzitás) X tengely - a denzitás alapján
A ritkaságról… • Pi – relatív gyakoriság, vagy ritkaság? ! • R(i, p) – átlagos ritkaság (Patil&Taillie, 1977, 1979, 1982) S Σ • D: Γ→R, D(p): = pi. R(i, p) i=1
Diverzitási indexek Egyszerű szám, mely leírja a diverzitást, figyelembevéve a fajok relatív gyakoriságait - eltérő érzékenység i=S Σ i=1 P in 1/(1 -n) mikor n = 0 akkor S n=1, Shannon index n=2 , Simpson index. n=3, . . Magas érték – ritka fajok alulbecslése
A Simpson diverzitás Annak a valószínűsége, hogy két random módon választott egyed külön fajhoz tartozik. – Egy faj van jelen, p = 1. 0 – Ha minden minta különböző fajt tartalmaz, p = 0. 0 DQ = 1 - i pi × pi
i faj fogási valószínűsége = pi. i faj dupla fogási valószínűsége = pi * pi. n faj dupla fogási valószínűsége = p(sp 1) + p(sp 2)… +p(sp. N) = i pi * pi 0 = teljesen különböző, 1 = homogén
Példa kvadratikus DQ Sp. A Sp. B Sp. C 10 10 10 p = 1/3 p=1/3 p = 1/3 D = 1 -(1/9 + 1/9) = 0. 667 Sp. A Sp. B Sp. C 1 1 28 p=1/30 p = 28/30 D = 1 -(1/900 + 784/900) = 14/900 = 0. 0156
A Shannon (or Shannon. Wiener) diverzitás HS = - i[pi*log(pi)] -Fajszáma és egyenletességre érzékeny - legmagasabb érték, mikor a közösség teljesen egyenletes E = H / log(S). E = 1 teljes egyenletesség, E 0 dominancia
Példa Shannon diverzitás - HS Sp. A Sp. B Sp. C 10 10 10 p = 1/3 p=1/3 p = 1/3 Sp. A Sp. B Sp. C 1 1 28 p=1/30 p = 28/30 H 10 = 3*(log 10(1/3)*1/3) = -3*(log 10(1/3)*1/3) = 0. 477 H 10 = 1/30*log 10(1/30) + 28/30*log 10(28/30) = 0. 126 E = H / log(3) = 1, E = H / log(3) = 0. 265
fajtelítődés Eltérő intenzitással mintázott élőhelyek összehasonlítása Pl. : mekkora lenne a fajszám ha egy 1000 mintánk lenne minden időpontból? S m) ES(m)=Σ(1 -(1 -p ) i i=1
Egyéb diverzitások. . The Berger-Parker Index HR = Nmax/N The Brillouin index HB = ln(N!) - Σln(ni!) N Diverzitási rendezések…. – eltérő érzékenységek kiküszöbölése
β - diverzitás - Térbeliség - Direct grádiens elemzések - Whittaker féle β –diverzitás
Számít-e a diverzitás? Diverzitás – stabilitás hipotézis. (megkérdőjelezhető, valószínűleg, egy hosszú életű parafrázis) Diverzitás - stabilitás hipotézis: a változatos ökológiai rendszerek hatékonyabbak(John Lawton’s Ecotrans) A diverzitás hatással van a gyakorlati természetvédelemre: Ok, de néha ellenmondás a diverzitás és természetvédelmi prioritások között