CLASE 13 PARTE 1 FUNCIONES REALES DE DOS


















- Slides: 18
CLASE 13 PARTE 1: FUNCIONES REALES DE DOS VARIABLES. Plano tangente. Bibliografía de la Clase 13: • Juan de Burgos: Cálculo Infinitesimal en Varias Variables. Capítulo 2, sección 2. 2, parágrafos 26 y 27. Ejercicios para las clase 12 • Práctico 4 del año 2006, ejercicios 8 y 11. Cálculo Diferencial e Integral II. Eleonora Catsigeras. IMERL. Fac. de Ingeniería. Udela. R. J. Herrera y Reissig 565. Montevideo. Uruguay. Setiembre 2006. Derechos reservados.
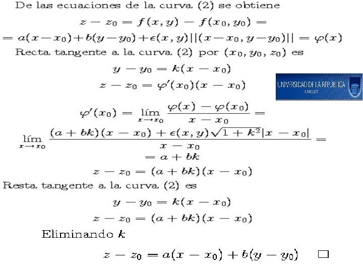
Sea dada una función real de dos variables f(x, y), definida en una abierto D. Sea dado un punto DEFINICIÓN: Plano tangente a la superficie gráfica z= f(x, y) en el punto es (si existe) el plano que contiene a todas LAS RECTAS TANGENTES por el punto a las CURVAS CONTENIDAS EN LA SUPERFICIE, que pasan por Ver figura siguiente
TEOREMA. Si f(x, y) es diferenciable en el punto entonces existe plano tangente a la superficie gráfica por y tiene por ecuación donde
sigue
CLASE 13 PARTE 2: FUNCIONES REALES DE VARIAS VARIABLES. Vector gradiente. Bibliografía de la Clase 13: • Juan de Burgos: Cálculo Infinitesimal en Varias Variables. Capítulo 2, sección 2. 2, parágrafos 26 y 27. Ejercicios para las clase 12 • Práctico 4 del año 2006, ejercicios 8 y 11. Cálculo Diferencial e Integral II. Eleonora Catsigeras. IMERL. Fac. de Ingeniería. Udela. R. J. Herrera y Reissig 565. Montevideo. Uruguay. Setiembre 2006. Derechos reservados.
Sea dada f función REAL de q variables en un abierto D y un punto a en D. DEFINICIÓN: Si f es diferenciable en a se define el vector gradiente de f en el punto a: NOTA: Si f no es diferenciable en a NO SE DEFINE vector gradiente de f en el punto a, aunque existan las derivadas parciales respectivas.
DIFERENCIAL Y GRADIENTE: El diferencial de f en el punto a es el producto escalar del gradiente por el vector incremento Delta x. DERIVADA DIRECCIONAL Y GRADIENTE: Cuando f es diferenciable en el punto a, la derivada direccional según la dirección del versor u es el producto escalar del gradiente por u.
PROPIEDADES DEL GRADIENTE: (cuando f es diferenciable) 1. La derivada direccional según u (pendiente de la gráfica en la dirección u) es nula si y solo si u es ortogonal al vector gradiente de f. CONSECUENCIA: El vector gradiente, si no es nulo, es ortogonal a las curvas de nivel de f(x, y). El vector gradiente, si no es nulo, es ortogonal a las superficies de nivel de f(x, y, z)
2. La derivada direccional según u (pendiente de la gráfica en la dirección u) es máxima si u es colineal al vector gradiente de f. Dem.
Como consecuencia de la propiedad 1, vimos que EJEMPLO: Encontrar la recta tangente a la hipérbola xy =1 por el punto (1/2, 2).
CLASE 13 PARTE 3: TEOREMA DEL VALOR MEDIO DEL CÁLCULO DIFERENCIAL. Bibliografía de la Clase 13: • Juan de Burgos: Cálculo Infinitesimal en Varias Variables. Capítulo 2, sección 2. 2, parágrafos 26 y 27. Ejercicios para las clase 12 • Práctico 4 del año 2006, ejercicios 8 y 11. Cálculo Diferencial e Integral II. Eleonora Catsigeras. IMERL. Fac. de Ingeniería. Udela. R. J. Herrera y Reissig 565. Montevideo. Uruguay. Setiembre 2006. Derechos reservados.
TEOREMA del VALOR MEDIO del Cálculo Diferencial (para funciones reales) Sea definida en un abierto D. Sean dos puntos tales que Si f es diferenciable entonces
Dem. sigue
TEOREMA del VALOR MEDIO del Cálculo Diferencial (para funciones vectoriales) Sea definida en un abierto D. Sean dos puntos tales que Si f es diferenciable entonces
EN GENERAL PARA FUNCIONES VECTORIALES NO SUCEDE LO MISMO QUE PARA FUNCIONES REALES. PARA FUNCIONES VECTORIALES NO NECESARIAMENTE EXISTE sino: