CLASE 14 PARTE 1 FUNCIONES DE CLASE C

  • Slides: 8
Download presentation
CLASE 14 PARTE 1: FUNCIONES DE CLASE C 1 Y DIFERENCIABILIDAD. Bibliografía de la

CLASE 14 PARTE 1: FUNCIONES DE CLASE C 1 Y DIFERENCIABILIDAD. Bibliografía de la Clase 14: • Juan de Burgos: Cálculo Infinitesimal en Varias Variables. Capítulo 2, sección 2. 3, parágrafo 28. Ejercicios para las clase 14 • Práctico 4 del año 2006, ejercicio 12. Cálculo Diferencial e Integral II. Eleonora Catsigeras. IMERL. Fac. de Ingeniería. Udela. R. J. Herrera y Reissig 565. Montevideo. Uruguay. Setiembre 2006. Derechos reservados.

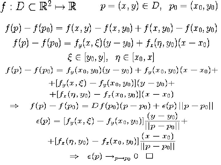
Sea donde D es un conjunto abierto. La existencia de las derivadas primeras no

Sea donde D es un conjunto abierto. La existencia de las derivadas primeras no implica la diferenciabilidad cuando f es función de dos o más variables. Recordemos que si existen y son continuas sus derivadas parciales primeras. TEOREMA Dem. Solo demostraremos en el caso particular de función real de dos variables. El caso general de función vectorial de varias variables, se demuestra en forma similar, componente a componente de f.

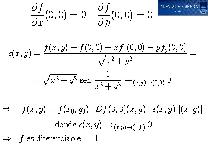
EJEMPLO: Probar que la siguiente función f es diferenciable en todos los puntos de

EJEMPLO: Probar que la siguiente función f es diferenciable en todos los puntos de

CLASE 14 PARTE 2: FUNCIONES DE CLASE C 1 Y DIFERENCIABILIDAD. Bibliografía de la

CLASE 14 PARTE 2: FUNCIONES DE CLASE C 1 Y DIFERENCIABILIDAD. Bibliografía de la Clase 14: • Juan de Burgos: Cálculo Infinitesimal en Varias Variables. Capítulo 2, sección 2. 3, parágrafo 28. Ejercicios para las clase 14 • Práctico 4 del año 2006, ejercicio 12. Cálculo Diferencial e Integral II. Eleonora Catsigeras. IMERL. Fac. de Ingeniería. Udela. R. J. Herrera y Reissig 565. Montevideo. Uruguay. Setiembre 2006. Derechos reservados.

Teorema anterior: OBSERVACIÓN: EJEMPLO: Verificar que la siguiente función no es de clase C

Teorema anterior: OBSERVACIÓN: EJEMPLO: Verificar que la siguiente función no es de clase C 1 en un entorno de (0, 0), pero es diferenciable en (0, 0).

sigue

sigue