6 3 Types of Settling With such heterogeneous

  • Slides: 30
Download presentation
6. 3 Types of Settling With such heterogeneous wastewaters/water and variable flows during the

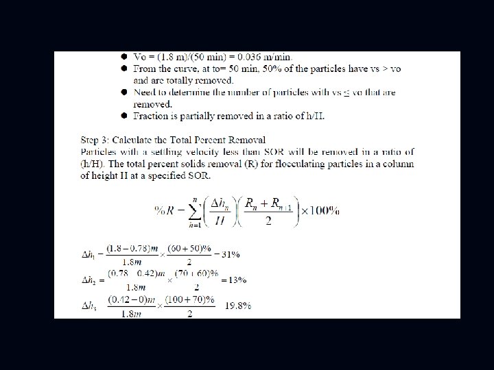
6. 3 Types of Settling With such heterogeneous wastewaters/water and variable flows during the settling process in a sedimentation tank it is possible that four types of settling may occur. In general, four types of settling phenomena have been defined. The four types of settling are described below, and shown graphically in Fig. 5. : Type I: Discrete particle settling - Settling of particles in a suspension of low solids concentration, particles settle as individual entities, with little or no interaction with adjacent particles. Type II: Flocculent Particles – Individual particles tend to coalesce, or flocculate, increasing their mass and settling rate. Type III: Hindered or Zone settling – The particles tend to remain in fixed positions with respect to each other, a solids-liquid interface develops at the top of the settling mass, which settles as a unit. Occurs if biological floc develops. Type VI: Compression settling- The concentration of particles is so high that sedimentation can only occur through compaction of the structure. Occurs in the lower sludge mass.

Fig. (6. 7): Types of settling.

Fig. (6. 7): Types of settling.

6. 4 Sedimentation of discrete particles To show the steps of the solution concerning

6. 4 Sedimentation of discrete particles To show the steps of the solution concerning the sedimentation tank, we will take a rectangular tank, as shown in Fig. (6. 8). From this figure it can be shown that we have two phases. The first is the top view (surface view) and his area equal to:

Ah = L ´ W The second phase is the side view and his

Ah = L ´ W The second phase is the side view and his area equal to: A 1 =W´h Ah W A 1 L Fig (6. 8) Rectangular sedimentation tank