Synthesis of Eicosanoids Glycerolipids and Isoprenoids Eicosanoids Eicosanoids























- Slides: 23
Synthesis of Eicosanoids, Glycerolipids and Isoprenoids
Eicosanoids • Eicosanoids are important regulatory molecules • Referred to as local regulators. Function where they are produced. • Two classes: Prostaglandins/thromboxanes, and Leukotrienes • Prostaglandins – mediate pains sensitivity, inflammation and swelling • Thromboxanes – involved in blood clotting, constriction of arteries • Leukotrienes – attract white cells, involved inflammatory diseases (asthma, arthritis, etc. . )
Eicosanoids
Eicosanoid Synthesis • C 20 unsaturated fatty acids (i. e. arachidonic acid (20: 4 D 5, 8, 11, 14) are precursors • Prostaglandins and Thromboxanes are synthesized by a cyclooxygenase pathway • Leukotirenes are synthesized by a lipoxygenase pathway cyclooxygenase
• Arachidonic acid present in membrane lipids are released for eicosanoid synthesis in the cell interior by phospholipase A 2
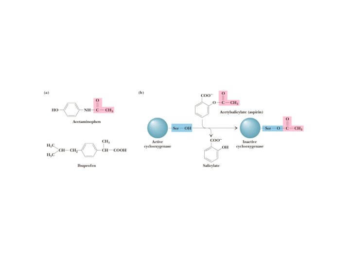
Cyclooxygenase (COX) Inhibitors • Two COX isozymes: COX-1 and COX-2. • COX-1 – important in regulating mucin secretion in stomach • COX-2 – promotes pain and inflammation and fever (involved in prostaglandin synthesis). • Asprin (acetylsalicylate) non-specific COX inhibitor. Acts by acetylating an essential serine residue in the active site. • Because asprin inhibits COX-1, causes stomach upset and other side effects. • New drugs (Vioxx and Celebrex) specifically inhibit COX-2
Glycerolipid Biosynthesis • Important for the synthesis of membrane lipids and triacylglycerol • Synthesis occurs primarily in ER • Phosphatidic acid (PA) is the precursor for all other glycerolipids in eukaryotes • PA is made either into diacylglycerol (DAG) or CDP-DAG
Glycerolipid Biosynthesis • Phosphatidic acid is the precursor for all other glycerolipids
Isoprenoid Synthesis • Involves formation of isopentenyl pyrophosphate (IPP) monmers. • IPP is conjugated in a head to tail manner to generate polyprenyl compounds.
• Formation of the isopentenyl pyrophosphate (IPP) via mevalonate pathway. • Primary pathway for isprenoid synthesis in animals and cytosolic isoprenoid synthesis in plants
Phosphomevalonate kinase Mevalonate kinase Formation of the isopentenyl pyrophosphate (IPP) pyrohosphomevalonate decarboxylase
Two Fates of HMG-Co. A
Bacteria and Plants Synthesize IPP via Non-Mevalonate Pathway • In plants and most bacteria, IPP is synthesized from the condensation of glyceraldehyde-3 phosphate (3 carbons) and pyruvate (3 carbons). • Forms a 5 carbon intermediate through transketolase type reaction (transfer of 2 carbon aldehyde from pyruvate to G-3 -P). • Occurs in chloroplast of plants. Involved in synthesis of chlorophyll, carotenoids, Vitamins A, E and K.
Very recent discovery (1996) Pathway still not fully understood. New pathway provides enzyme targets for new herbicidal and anti-microbial compounds
Condensation of IPP into Polyprenyl Compounds IPP isomerase Dimethylallyl pryophosphate
Cholesterol Synthesis from IPP Isomerase prenyltransferase Squalene synthase
Squalene monooxygenase 2, 3 -oxidosqualene lanosterol cyclase 20 steps cholesterol
Regulation of HMG-Co. A Reductase • As rate-limiting step, it is the principal site of regulation in cholesterol synthesis • 1) Phosphorylation by c. AMP-dependent kinases inactivates the reductase • 2) Degradation of HMG-Co. A reductase - half-life is 3 hrs and depends on cholesterol level • 3) Gene expression (m. RNA production) is controlled by cholesterol levels
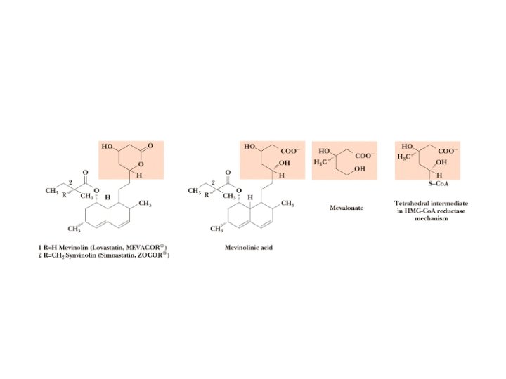
Inhibiting Cholesterol Synthesis • HMG-Co. A reductase is the key - the rate -limiting step in cholesterol biosynthesis • Lovastatin (mevinolin) blocks HMG-Co. A reductase and prevents synthesis of cholesterol • Lovastatin is an (inactive) lactone • In the body, the lactone is hydrolyzed to mevinolinic acid, a competitive (TSA!) inhibitor of the reductase, Ki = 0. 6 n. M!