Parallelization Strategies Laxmikant Kale Overview Open MP Strategies


























- Slides: 26
Parallelization Strategies Laxmikant Kale
Overview • Open. MP Strategies • Need for adaptive strategies – Object migration based dynamic load balancing – Minimal modification strategies • Thread based techniques: ROCFLO, . . • Some future plans
Open. MP • Motivation: – Shared memory model often easy to program – Incremental optimization possible
ROCFLO via Open. MP • Parallelization of ROCFLO using a loopparallel paradigm via Open. MP – Poor speedup compared with MPI version – Was locality the culprit? • Study conducted by Jay Hoeflinger – In collaboration with Fady Najjar
ROCFLO with MPI
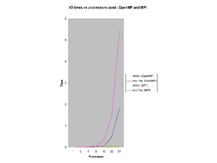
The Methodology • Do Open. MP/MPI comparison experiments. • Write an Open. MP version of ROCFLO – Start with the MPI version of ROCFLO, – Duplicate the structure of the MPI code exactly (including message passing calls). – This removes locality as a problem. • Measure performance – If any parts do not scale well, determine why.
Barrier Cost: MPI vs Open. MP (Origin 2000)
So Locality was not the whole problem! • The other problems turned out to be: – I/O which doesn’t scale – ALLOCATE which doesn’t scale – our non-scaling reduction implementation – our first-cut messaging infrastructure which, could be improved • Conclusion – Efficient loop parallel version may be feasible, avoiding Allocates and using scalable IO
Need for adaptive strategies • Computation structure changes over time: – Combustion • Adaptive techniques in application codes: – Adaptive refinement in structures or even fluid – Other codes such as crack propagation • Can affect the load balance dramatically – One can go from 90% efficiency to less than 25%
Multi-partition decompositions • Idea: decompose the problem into a number of partitions, – independent of the number of processors – # Partitions > # Processors • The system maps partitions to processors – The system should be able to map and re-map objects as needed
Load Balancing Framework • Aimed at handling. . . – Continuous (slow) load variation – Abrupt load variation (refinement) – Workstation clusters in multi-user mode • Measurement based – Exploits temporal persistence of computation and communication structures – Very accurate (compared with estimation) – instrumentation possible via Charm++/Converse
Charm++ • A parallel C++ library – supports data driven objects – many objects per processor, with method execution scheduled with availability of data – system supports automatic instrumentation and object migration – Works with other paradigms: MPI, open. MP, . .
Load balancing framework
Load balancing demonstration • To test the abilities of the framework – A simple problem: Gauss-Jacobi iterations – Refine selected sub-domains • App. Spector: web based tool – Submit parallel jobs – Monitor performance and application behavior – Interact with running jobs via GUI interfaces
Adapitivity with minimal modification • Current code base is parallel (MPI) – But doesn’t support adaptivity directly – Rewrite the code with objects? . . . • Idea: support adaptivity with minimal changes to F 90/MPI codes • Work by: – Milind Bhandarkar, Jay Hoeflinger, Eric de Sturler
Migratable threads approach • Change required: – Encapsulate global variables in modules • Dynamically allocatable • Intercept MPI calls – Implement them in a multithreaded layer • Run each original MPI process as a thread – User level thread • Migrate threads as needed by load balancing – Trickier problem than object migration
Progress: • • • Test Fortran-90 - C++ interface Encapsulation feasibility: Thread migration mechanics ROCFLO study: Test code implementation ROCFLO implementation
Another approach to adaptivity • Cleanly separate parallel and sequential code: – All parallel code in C++ – All application code in Fortran 90 sequential subroutines • Needs more restructuring of application codes – But is feasible, especially for new codes – Much easier to migrate – Improves modularity