FractureConduit Flow Motivation Fractured rock NSW Australia Karst
































- Slides: 32
Fracture/Conduit Flow
Motivation Fractured rock (NSW Australia)
Karst http: //research. gg. uwyo. edu/kincaid/ Modeling/wakulla/wakcave 2. jpg ~11 m 3 s-1 ~100 m White Scar, England; photo by Ian Mc. Kenzie, Calgary, Canada
These data and images were produced at the High. Resolution X-ray Computed Tomography Facility of the University of Texas at Austin
Basic Fluid Dynamics
Momentum • p = mu
Viscosity • • Resistance to flow; momentum diffusion Low viscosity: Air High viscosity: Honey Kinematic viscosity:
Reynolds Number • The Reynolds Number (Re) is a non-dimensional number that reflects the balance between viscous and inertial forces and hence relates to flow instability (i. e. , the onset of turbulence) • Re = v L/n • L is a characteristic length in the system • Dominance of viscous force leads to laminar flow (low velocity, high viscosity, confined fluid) • Dominance of inertial force leads to turbulent flow (high velocity, low viscosity, unconfined fluid)
Re << 1 (Stokes Flow) Tritton, D. J. Physical Fluid Dynamics, 2 nd Ed. Oxford University Press, Oxford. 519 pp.
Separation
Eddies, Cylinder Wakes, Vortex Streets Re = 30 Re = 47 Re = 55 Re = 67 Re = 100 Re = 41 Tritton, D. J. Physical Fluid Dynamics, 2 nd Ed. Oxford University Press, Oxford. 519 pp.
Eddies and Cylinder Wakes S. Gokaltun Florida International University Streamlines for flow around a circular cylinder at 9 ≤ Re ≤ 10. (g=0. 00001, L=300 lu, D=100 lu)
Eddies and Cylinder Wakes S. Gokaltun Florida International University Streamlines for flow around a circular cylinder at 40 ≤ Re ≤ 50. (g=0. 0001, L=300 lu, D=100 lu) (Photograph by Sadatoshi Taneda 1956 a, J. Phys. Soc. Jpn. , 11, 302 -307. )
Poiseuille Flow y z u x a L Flow
Poiseuille Flow • In a slit or pipe, the velocities at the walls are 0 (no-slip boundaries) and the velocity reaches its maximum in the middle • The velocity profile in a slit is parabolic and given by: u(x) • G can be due to gravitational acceleration (G = rg in a vertical slit) or the linear pressure gradient (Pin – Pout)/L x=0 x = a/2
Poiseuille Flow • Maximum u(x) • Average x=0 x = a/2
Poiseuille Flow S. GOKALTUN Florida International University
Kirchoff’s Current Law • Kirchoff’s law states that the total current flowing into a junction is equal to the total current leaving the junction. I 1 Gustav Kirchoff was an 18 th century German mathematician I 1 flows into the node I 2 flows out of the node I 3 flows out of the node I 2 I 1 = I 2 + I 3
• Ohm’s law relates the flow of current to the electrical resistance and the voltage drop • V = IR (or I = V/R) where: – I = Current – V = Voltage drop – R = Resistance • Ohm’s Law is analogous to Darcy’s law
• Poiseuille's law can related to Darcy’s law and subsequently to Ohm's law for electrical circuits. A = a *unit depth • Cubic law:
36 lu Fracture Network DP 12 Q 12 900 lu DP Q 23 54 lu DP 23 Q 34 DP 34 108 lu Q 45 DP 45 Q 56 DP 56 -216 lu -
Matrix Form
Back Solution • Have conductivities and, from the matrix solution, the gradients – Compute flows • Also have end pressures – Compute intermediate pressures from DPs
Hydrologic-Electric Analogy Poiseuille's law corresponds to the Kirchoff/Ohm’s Law for electrical circuits, where pressure drop Δp is replaced by voltage V and flow rate by current I a I 12 ΔP 12 I 23 ΔP 23 I 34 ΔP 45 I 56 ΔP 56 Q = 0. 11 lu 3/ts Kirchoff LBM Re 0. 66 1. 0 1. 8 4. 1 7. 2 43. 0 Q (lu 3/ts) LBM Kirchoff’s 0. 11 0. 14 0. 18 0. 19 0. 27 0. 28 0. 36 0. 37 0. 87 0. 92
Entry Length Effects Tritton, D. J. Physical Fluid Dynamics, 2 nd Ed. Oxford University Press, Oxford. 519 pp.
Eddies Serpa, CY, 2005, Unpublished MS Thesis, FIU 2 m m Bai, T. , and Gross, M. R. , 1999, J Geophysical Res, 104, 1163 -1177 Flow 3 mm 3. 3 mm x 2. 7 mm Re = 9
‘High’ Reynolds Number Taneda, J. Fluid Mech. 1956. (Also Katachi Society web pages) • Single cylinder, Re ≈ 41
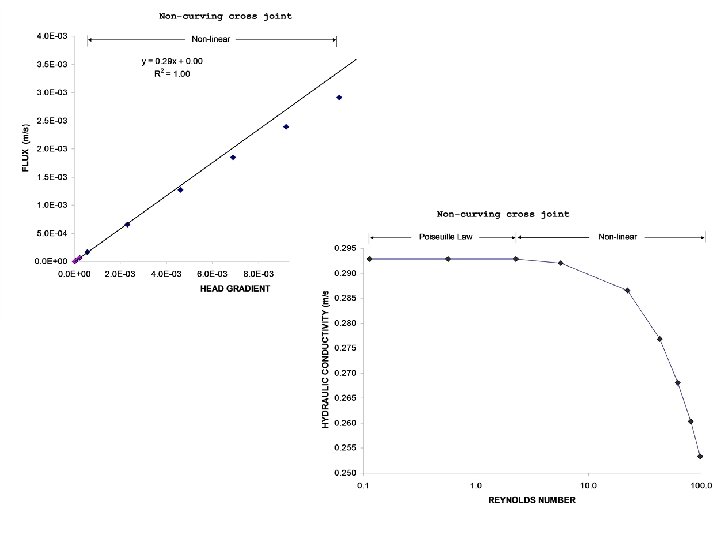
Darcy-Forschheimer Equation • Darcy: • +Non-linear drag term:
Apparent K as a function of hydraulic gradient t=1 Darcy-Forchheimer Equation • Gradients could be higher locally • Expect leveling at higher gradient?
Streamlines at different Reynolds Numbers • Re = 0. 31 Re = 152 K = 34 m/s K = 20 m/s Streamlines traced forward and backwards from eddy locations and hence begin and end at different locations
Future • Gray scale as hydraulic conductivity, turbulence, solutes