FORMULACIN DE PROYECTOS DE INVESTIGACIN EN NUTRICIN Y























- Slides: 23
FORMULACIÓN DE PROYECTOS DE INVESTIGACIÓN EN NUTRICIÓN Y ALIMENTACIÓN Sesión 4.
Temas • Diseño metodológico • Universo y muestra • Criterios de inclusión y exclusión
Diseño metodológico • Metodología: Cómo se obtendrá el conocimiento. – La metodología del proyecto incluye el tipo o tipos de investigación, las técnicas y los procedimientos que serán utilizados para llevar a cabo la indagación. – Es el "cómo“ se realizará el estudio para responder al problema planteado.
Diseño metodológico Nivel o Tipo de Investigación • • Investigación Exploratoria Investigación Descriptiva Investigación asociativa o correlacional Investigación Explicativa Diseño de Investigación • Investigación Documental • Investigación de Campo • Investigación Experimental Tiempo • Longitudinal • Transversal
DISEÑO CON GRUPO CONTROL CON PRE Y POST-TEST Grupo A Medición 1 Tratamiento X Medición 2 Grupo B Medición 1 Tratamiento Y Medición 2 Grupo C Medición 1 Placebo Medición 2
DISEÑO CON GRUPO CONTROL SOLO CON POST-TEST Grupo A Grupo B Tratamiento X Medición
DISEÑO CRUZADO - CROSS-OVERCROSSOVER Grupo A Tratamiento (Medición) Grupo A Placebo (Medición) Tiempo Tratamiento (Medición)
Desconocimiento de la intervención asignada a los grupos en estudio Ciego en ensayos clínicos Otras Características Ciego Uno de los participantes (pacientes) Doble Ciego Pacientes, investigadores y quienes adjudican los resultados Triple Ciego Además los encargados de analizar los resultados Abierto
Universo y muestra • La población o universo se refiere al conjunto para el cual serán válidas las conclusiones. • A los elementos o unidades (personas, instituciones o cosas) involucradas en la investigación. – La muestra es un "subconjunto representativo de un universo o población. "
Universo y muestra • En la investigación bibliográfica el universo equivale al tema de estudio. • Estudios exploratorios (estudios de caso) se concentran en uno o pocos elementos que se asumen, no como un conjunto sino como una sola unidad.
Universo y muestra • Muestreo Probabilístico: – Proceso en el que se conoce la probabilidad que tiene cada elemento de integrar la muestra. • Muestreo al Azar Simple: – Todos los elementos tienen la misma probabilidad de ser seleccionados • Muestreo al Azar Sistemático: – Función de una constante K • Muestreo Estratificado: – Dividir la población en subconjuntos o estratos cuyos elementos poseen características comunes • Muestreo por Conglomerados – División del universo en unidades menores, para determinar luego las que serán objeto de investigación
Universo y muestra • Muestreo no Probabilístico – Se desconoce la probabilidad que tienen los elementos de la población para integrar la muestra. • Muestreo Casual o Accidental: – Selección arbitraria de los elementos sin un juicio o criterio preestablecido. • Muestreo Intencional u Opinático: – Selección de los elementos con base en criterios o juicios del investigador. • Muestreo por Cuotas – Escoger elementos en función de la población, de modo tal que se conformen grupos de cuotas correspondientes con cada característica.
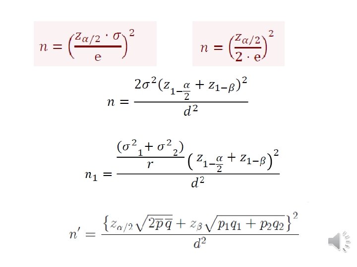
Muestra • Tamaño de Muestra – Estimación de una Media – Estimación de una Proporción • Tamaño de muestra en estudios con planteamiento de hipótesis. – Tamaño de muestra para prueba de hipótesis de comparación de medias. – Tamaño de muestra para prueba de hipótesis de comparación de proporciones.
Muestra • • Nivel de confianza (95% = 0, 95) α : Error Tipo I (significación 0, 05) β : Error Tipo II La potencia: probabilidad de rechazar correctamente Ho. (1 - β) • Valores de 0. 8 o 0. 9 • Colas (bi-lateral – unilateral) • La diferencia que se considerará «significativa» • Una estimación de la variabilidad de las mediciones , estimación de σ (s 2)
Técnicas e Instrumentos de Recolección de Datos • Técnicas – Formas o maneras de obtener la información. • • Observación directa Medición Directa Encuesta o Cuestionario Análisis documental. • Instrumentos – medios materiales que se emplean para recoger y almacenar la información. • • Fichas Formatos de cuestionario Litas de cotejo Escalas de actitudes u opinión (tipo likert)
Técnicas e Instrumentos de Recolección de Datos • Indicar las técnicas e instrumentos – Por ejemplo: • Peso: » El peso se determinará con una balanza SECA 884 digital con precisión de 0. 1 Kg. cuya carga máxima son 140 kilos. Los Adultos (niños, adultos mayores, mujeres, etc) serán pesados con un mínimo de ropa, sin zapatos, con los bolsillos vacíos, en posición erecta, con los brazos a los costados, con el peso distribuido en ambos pies. » Para la obtención del peso se establecieron las siguientes etapas: » 1. - Se colocará la balanza en una superficie plana y firme. » 2. - Calibrar cada vez que se utilice. » 3. - Colocar al sujeto con el mínimo de ropa posible sin zapatos. » 4. - Leer el peso y registrar inmediatamente. » 5. - Repetir para validar la medición
Criterios • Define las características que deben cumplir los sujetos o unidades de observación para participar (criterios de inclusión) y las características que impiden participar en la investigación (criterios de exclusión). Los criterios de eliminación son los elementos que justifican que un paciente salga del estudio antes de que termine su evaluación.
Criterios • Inclusión – Que características debe tener la unidad de análisis, identifica a un individuo que pertenece a la población en estudio. • Exclusión – Propiedades cuyo cumplimiento identifica a un individuo que por sus características podría generar sesgo en la estimación de la relación entre variables, aumento de la varianza de las mismas o presentar un riesgo en su salud por su participación en el estudio. • Eliminación – Falta de alguna propiedad o elementos que justifican que un paciente salga del estudio antes de que termine su evaluación.
Criterios • Ejemplo: – Determinación de Hábitos alimentarios saludables en pacientes con cirugía bariátrica post N años • Inclusión – Todos los pacientes sometidos a cirugía bariátrica durante los años X a Y • Exclusión – Pacientes sometidos a más de una intervención – Pacientes con alguna patología que impida su alimentación normal – Mayores de 55 años • Eliminación – Pacientes con encuesta incompleta
Tarea • Se desea obtener el tamaño muestra en un estudio observacional, caso-control, en el cual se esta comparando el estado nutricional del hierro en sujetos normales y obesos. • Para el cálculo se debe considerar un nivel de confianza del 95%, un poder estadístico de 80% y test de contraste unilateral, esperando poder obtener diferencias a al menos 10% en la saturación de transferrina, tomado como base el valor descrito por Mujica-Coopman (2014); 24, 7± 11, 8 (varianza 139, 24) • Considere un 10% extra para asegurar muestra. • Utilice Planilla Excel
FORMULACIÓN DE PROYECTOS DE INVESTIGACIÓN EN NUTRICIÓN Y ALIMENTACIÓN Sesión 4.