Chapter 3 Mechanisms of Toxicity Toxicology Chaper 4





































- Slides: 37
Chapter 3 Mechanisms of Toxicity Toxicology - Chaper 4 1
Section 1 Delivery: from the site of exposure to the target Toxicology - Chaper 4 3
Absorption versus Presystemic Elimilation • Absorption: Transfer of a chemical from the site of exposure into the systemic circulation • Presystemic Elimilation: The GI mucosa and the liver may elimilate a significant fraction of a txicant during its passage through tissues, decreasing its systemic availability Toxicology - Chaper 4 4
Distribution to and away from the target • Mechanisms facilitating distribution to a target: – Porosity of the capillary endothelium – Specialized membrane transport – Reversible intracellular binding Toxicology - Chaper 4 5
Distribution to and away from the target • Mechanisms opposing distribution to a target: – Binding to plasma proteins – Specialized barriers – Distribution to storage sites – Export from cells Toxicology - Chaper 4 6
Excretion versus Reabsorption • Excretion: Physical removal of xenobiotics from the blood and their return to the external environment • Reabsorption: Diffusion of toxicants in the renal tubules and the GI tract across the tubular cells and intestinal mucosa back into the circulation Toxicology - Chaper 4 7
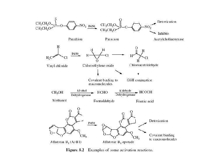
Toxication versus Detoxication • Toxication: Biotransformation of xenobiotics to harmful products, also called activation Toxicology - Chaper 4 8
Toxication versus Detoxication The cytochrome P 450 monooxygenases (CYP) are by far the most important enzymes involved in the oxidation of xenobiotics. This is because of the abundance of CYP (especially in the liver), the numerous isozymes of CYP, and the ability of CYP to be induced by xenobiotic compounds. Although the CYP enzymes are the most abundant in the liver, they are also present in other tissues including the skin, kidney, intestine, lung, placenta, and nasal mucosa. Because CYP exists as multiple isozymes with different substrate specificities, the presence or absence of a particular CYP isozyme may contribute to tissue-specific toxicities. Many drugs and other foreign compounds are known to induce one or more of the CYP isozymes, resulting in an increase, decrease, or an alteration in the metabolic pathway of chemicals metabolized by the CYP isozymes Toxicology - involved. Chaper 4 9
Toxicology - Chaper 4 10
Toxication versus Detoxication • Toxication: Biotransformation of xenobiotics to harmful products, also called activation – Formation of electrophiles – Formation of free radicals – Formation of nucleophiles – Formation of redox-active reactants Toxicology - Chaper 4 11
Toxication versus Detoxication • Detoxication: Biotransformation which eliminate the ultimate toxicant or prevent its formation – Detoxication of toxicants with no functional groups – Detoxication of electrophiles – Detoxication of free radicals – Detoxication of nucleophiles – Detoxication of protein toxins Toxicology - Chaper 4 13
Toxicology - Chaper 4 14
Toxication versus Detoxication • When detoxication fails – Exhaustion of the detoxication enzymes – Consumption of cosubstrates – Depletion of cellular antioxidants – Conjugation reaction reversed – Generation of harmful by-products Toxicology - Chaper 4 15
Some important terms that are often used when discussing activation include parent compound, sometimes referred to as procarcinogen in the case of a carcinogen or prodrug for pharmaceutical compounds; proximate toxic metabolite or proximate carcinogen for one or more of the intermediates; and ultimate toxic metabolite or ultimate carcinogen for the reactive species that binds to macromolecules and DNA. Toxicology - Chaper 4 17
The relationship between metabolism, activation, detoxication, and toxicity of a chemical.
Section 2 Reaction of the ultimate toxicant with the target molecule Toxicology - Chaper 4 19
Types of Reaction • • • Noncovalent binding Hydrogen abstraction Electron transfer Enzymatic reactions Toxicology - Chaper 4 20
Effects of Toxicants on Target Molecules • • Attributes of target molecules Dysfunction of target molecules Destruction of target molecules Neoantigen formation Toxicology - Chaper 4 21
Toxicology - Chaper 4 22
Toxicology - Chaper 4 23
Section 3 Cellular Dysfunction and Resultant Toxicities Toxicology - Chaper 4 24
Toxicant-induced Cellular Dysregulation • • • Dysregulation of gene expression Dysregulation of transcription Dysregulation of signal transduction Dysregulation of signal production Dysregulation of ongoing cellular activity Dysregulation of electrically excitable and nonexcitable cells Toxicology - Chaper 4 25
Toxic Alteration of Cellular Maintenance • Impairment of internal cellular maintenance: mechanisms of toxic cell death – Impaired ATP synthesis – Sustained rise of intracellular Ca++ – Damage of plasma membrane, lysosome, cytoskeleton, protein synthesis • Impairment of External cellular maintenance – Interruption of hepatic function Toxicology - Chaper 4 26
Toxicology - Chaper 4 27
Section 4 Repair or Dysrepair Toxicology - Chaper 4 28
Toxicology - Chaper 4 29
Molecular Repair • Repair of proteins: enzymatic reduction • Repair of lipids: reductants and reductase • Repair of DNA – Direct repair – Excision repair – Recombinational (or postreplication) repair Toxicology - Chaper 4 30
Cellular Repair • In most cases injured cells die with the survivors dividing to replace the lost cells • An exception: nerve tissues – A strategy in peripheral neurons – Axonal damage repairs require macrophages and Schwann cells (NGF) Toxicology - Chaper 4 31
Tissue Repair • Apoptosis: an active deletion of damaged cells • Proliferation: regeneration of tissue • Replacement of lost cells by mitosis • Replacement of extracellular matrix Toxicology - Chaper 4 32
Tissue Repair • Side reactions to tissue injury – Inflammation – Altered protein synthesis: acute-phase proteins (C-reactive protein, fibrinogen) – Generalized reactions: increased release of cytokines (IL-1, IL-6, TNF) Toxicology - Chaper 4 34
Toxicity Resulting from Dysrepair • Tissue necrosis • Fibrosis • Carcinogenesis Toxicology - Chaper 4 35
Carcinogenesis • Failure of DNA repair: mutation, the initiating event in carcinogenesis • Failure of apoptosis: promotion of mutation and clonal growth • Failure to terminate proliferation: promotion of mutation, proto-oncogene expression, and clonal growth • Nongenotoxic carcinogens: promoters of mitosis and inhibitors of apoptosis Toxicology - Chaper 4 36
More mechanisms of toxicity are waiting for your explosion Toxicology - Chaper 4 37