LUCRUL MECANIC Un muncitor urc un sac de































- Slides: 31
LUCRUL MECANIC Un muncitor urcă un sac de 588 N la o înălţime de 15 m. Să se calculeze lucrul mecanic pe care-l produce muncitorul, dacă greutatea sa proprie este 686 N. (Culegere de probleme de fizică pentru clasele VI-VIII, C. Vintilă, I. Oltean-EDP, București, 1974)
Care este lucrul mecanic efectuat când ridicăm la înălţime de 20 m, o bară de fier lungă de 5 m cu secţiunea de 50 cm 2 şi cu densitatea ρ=7800 kg/m 3. (Culegere de probleme de fizică pentru clasele VI-VIII, C. Vintilă, I. Oltean-EDP, București, 1974)
Se ridică 20 tone cărbune la înălţimea de 9 m cu ajutorul unui camion care cântăreşte 500 kg şi în care încape 1000 kg cărbuni. Care este lucrul mecanic efectuat? (Culegere de probleme de fizică pentru clasele VI-VIII, C. Vintilă, I. Oltean-EDP, București, 1974) Se transportă cărbune de 20 ori şi de fiecare dată se transportă şi camionul.
Care este lucrul mecanic efectuat, necesar pentru a deplasa un autovehicul pe distanţa de 50 m, dacă masa autovehicolului este m=1 t, iar forţa de tracţiune reprezintă 20% din greutatea sa?
Acţionând cu o forţa constantă de 392 N se ridică un corp de 20 kg la înălţimea de 10 m. Ce lucru mecanic total se efectuează? Care este valoarea lucrului ecanic necesar ridicării corpului?
Un lucrător ridică, la înălţimea de 6 m, 28 cărămizi, cântărind fiecare 3, 5 kg. Care este lucrul mecanic util şi care este lucrul mecanic total, dacă lucrătorul cântăreşte 75 kg? (Culegere de probleme de fizică pentru clasele VI-VIII, C. Vintilă, I. Oltean-EDP, București, 1974)
Un muncitor acţionează cu o forţa de 170 N asupra unui corp deplasându-l pe o distanţă d, efectuând un lucru mecanic de 13600 J. Să se calculeze timpul în care s-a realizat deplasarea , dacă viteze de mişcare a muncitorullui este de 2 m/s. (Culegere de probleme de fizică pentru clasele VI-VIII, C. Vintilă, I. Oltean-EDP, București, 1974)
Un automobil cu forţa de tracţiune de 1058 N se deplasează pe un drum pe care efectuează un lucru mecanic de 5292 k. J. Să se calculeze viteza de deplasare a automobilului, dacă se mişcă timpde 4 min şi 10 s. (Culegere de probleme de fizică pentru clasele VI-VIII, C. Vintilă, I. Oltean-EDP, București, 1974)
Pentru ridicarea unui paralelipiped la înălţimea de 20 m se efectuează un lucru macanic de 137200 J. Să se calculeze densitatea materialului dacă dimensiunile paralelipipedului sunt: 0, 5 m x 1 m. (Culegere de probleme de fizică pentru clasele VI-VIII, C. Vintilă, I. Oltean-EDP, București, 1974)
Pe o suprafaţă orizontală este tras un cărucior cu masa m=10 kg. Forţa de tracţiune este paralelă cu suprafaţa orizontală, deplasează căruciorul pe distanţa Δd=6 m şi are valoarea F=20 N. Forţa de frecare este 15% din greutatea cărucirului , iar g=9, 8 N/kg. calculaţi: a) lucrul mecanic al forţei de tracţiune; b) lucrul mecanic al forţei de frecare; c) lucrul mecanic al greutăţii. ( Fizică-400 de probleme şi 40 de teste grilă pentru elevii claselor VI-VIII-D. Bacrău -Ed. Corint-Bucureşti 2003)
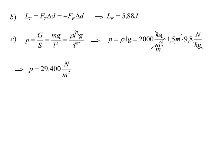
Un corp cubic cu latura l=10 cm şi ρ=2 g/cm 3 este tras pe o suprafaţă orizontală cu viteza constantă. Forţa de tracţiune este paralela cu orizontala, iar originea ei se deplasează pe distanţa Δd=1, 5 m. Coeficentul de frecare dintre corp şi suprafaţă este μ=0, 2, iar g=9, 8 N/kg. Aflaţi: a) lucrul mecanic al forţei de frecare; b) lucrul mecanic al forţei de tracţiune; c) presiunea exercitată de către corp asuprafeţei. ( Fizică-400 de probleme şi 40 de teste grilă pentru elevii claselor VI-VIII-D. Bacrău -Ed. Corint-Bucureşti 2003)
Valoarea unei forţe variabile , creşte odată cu distanţa , după formula F=5+5 d. Corpul se deplasează pe direcţia şi în sensul forţei cu viteza constantă v=2 m/s. a) Reprezentaţi grafic lucrul mecanic în funcţie de distanţă. b) Calculaţi lucrul mecanic efectat de catre forţa F în 5 s.
Asupra unui corp acţionează o forţa variabilă. Să se determine lucrul mecanic efectuat de aceasta forţă , dacă graficul de variaţie al acestei forţe în funcţie de deplasare este următorul: Pentru a calcula lucrul mecanic se foloseşte interpretarea grafică a lucrului mecanic: lucrul mecanic este numeric egal cu aria figurii geometrice de sub graficul forţei în funcţie de distanţa.
O forţa de 100 N se deplasează 5 m cu toată valoarea ei, iar după aceea scade după fiecare 5 m cu 10 N. Reprezentaţi grafic forţa în raport cu distanţa şi calculaţi lucrul mecanic efectuat.
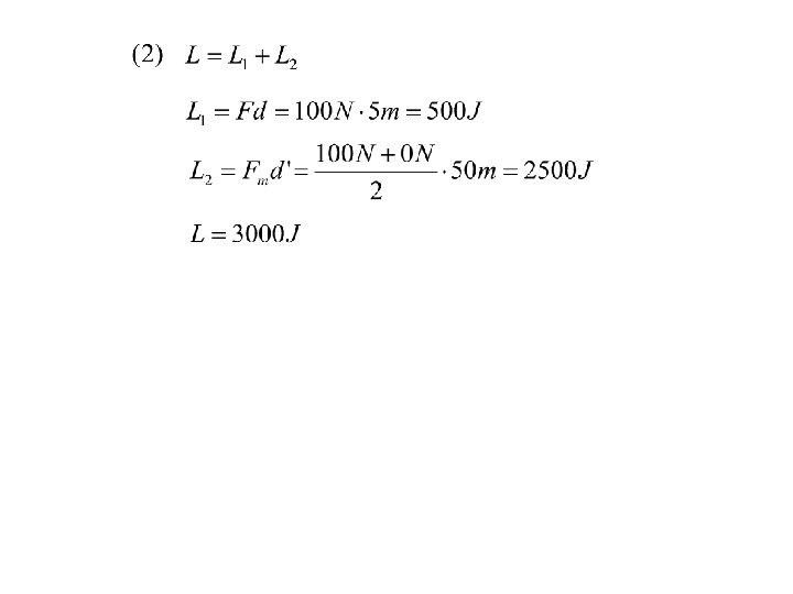
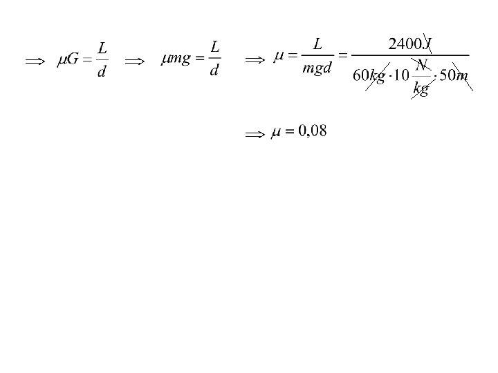
Lucrul mecanic efectuat de către un biciclist, pe distanţa d=50 m este 2, 4 k. J. Calculaţi coeficientul de frecare dintre roţi şi şoseua orizontală , dacă masa biciclistului şi a bicicletei este m=60 kg. Se neglijează celelalte frecări, viteza este constantă, iar g=10 N/kg. ( Fizică-400 de probleme şi 40 de teste grilă pentru elevii claselor VI-VIII-D. Bacrău -Ed. Corint-Bucureşti 2003) Viteza este constantă => se îndeplineste condiţia I de echilibru: (pe orizontală) (pe verticală)
Un sac cu greutatea G=600 N este ridicat cu viteză constantă, la înalţimea h=2, 5 m, cu ajutorul unui scripete mobil cu masa neglijabilă. Forţa activă este F=340 N. Aflaţi: a) lucrul mecanic al forţei de greutate; b) lucrul mecanic al forţei de frecare. ( Fizică-400 de probleme şi 40 de teste grilă pentru elevii claselor VI-VIII-D. Bacrău -Ed. Corint-Bucureşti 2003) Se respectă condiţia I de echilibru.
Un corp cu masa m=6 kg se deplasează pe distanţa d=2 m sub acţiunea a două forţe concurente, plasate în aelaşi plan vertical şi constante, ca în figură, cu valorile F 1=F 2=30 N, iar g=10 N/kg. Aflaţi lucrul mecanic total efectuat asupra corpului, dacă coeficientul de frecare este μ=0, 2, iar unghiul α=600. ( Fizică-400 de probleme şi 40 de teste grilă pentru elevii claselor VI-VIII-D. Bacrău -Ed. Corint-Bucureşti 2003)
Pe verticala se indeplineste conditia I de echilibru:
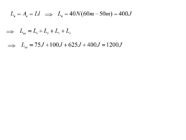
Pentru a muta un dulap dintr-o cameră în alta, s-a scos uşa din balamale. Operaţiunea s-a făcut cu o bară uşoara şi rigidă, lungă de 75 cm şi introdusă 15 cm sub uşă. Forţa minimă pentru ridicarea uşii a fost 72 N, masa ei 30 kg, iar lungimea balamalelor 5 cm. Se consideră g=10 N/kg. a) Stabiliţi dacă la balamale acţionează o forţa de frecare şi găsiţi valoarea ei. b) Aflaţi lucrul mecanic efectuat. ( Fizică-400 de probleme şi 40 de teste grilă pentru elevii claselor VI-VIII-D. Bacrău -Ed. Corint-Bucureşti 2003) Se aplică condiţia II de echilibru pentru pârghie. Se aplică condiţia I de echilibru pentru uşă.
Un cub cu ρ=2700 kg/m 3 şi latura l=0, 8 m este rostogolit pe distanţa 4 l. Frecările se neglijează , iar g=10 N/kg. Să se calculeze: a) valoarea forţei minime necesară pentru efectuarea unei rostogoliri complete; b) valoarea minimă a lucrului mecanic. Se presupune existenţa unui prag ce împiedeca alunecarea cubului. ( Fizică-400 de probleme şi 40 de teste grilă pentru elevii claselor VI-VIII-D. Bacrău -Ed. Corint-Bucureşti 2003) AB este muchia în jurul cărei se rostogoleşte cubul. Se aplică condiţia II de echilibru faţă de punctul O.
AB este muchia in jurul căreia se rostogoleşte cubul, iar înăltimea la care se ridică centrul de greutate este jumătate din diagonala OM. Pe distanţa 4 l, acest lucru se întâmplă de 4 ori.
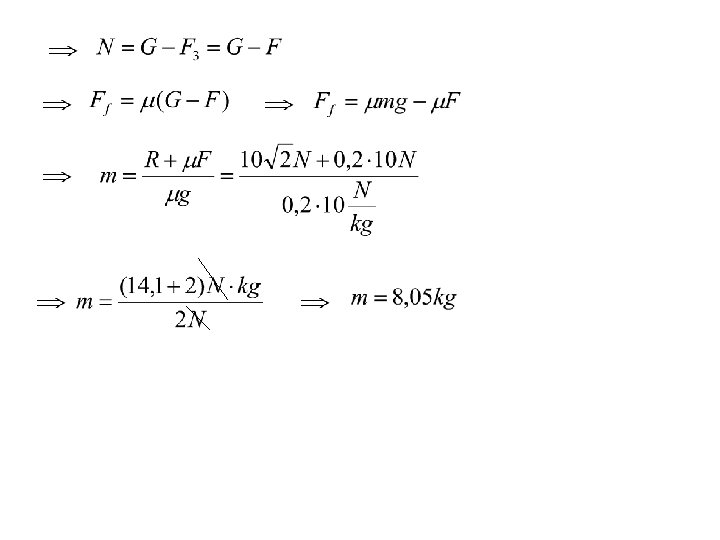
Trei forţe cu aceaşi valoare F=10 N, acţionează simultan în punctul A al cubului din figură. Direcţiile lor coincid cu cele trei muchii şi deplasează cubul cu viteză constantă pe o suprafaţă orizontală, pe o distanţă egală cu diagonala unei feţe a cubului, pe direcţia acesteia. Latura cubului este l=10 cm. a) Calculaţi prin două metode, lucrul mecanic efectuat asupra cubului. b) Găsiţi masa cubului, dacă μ=0, 2 , iar g=10 N/kg. ( Fizică-400 de probleme şi 40 de teste grilă pentru elevii claselor VI-VIII-D. Bacrău -Ed. Corint-Bucureşti 2003)
Pe direcţia normală nu se efectează lucru mecanic. Pe direcţia tangenţială: Se aplică condiţia I de echilibru pentru cub, pe verticală:
O macara ridică în picioare în timpul t=2 s o şină culcată pe Pământ, trăgând-o de un capăt cu viteza v=30 m/min. Masa şinei fiind m=1 t, să se calculeze lucrul mecanic efectuat. (PROBLEME DE FIZICĂ pentru clasele IX-X, A. Hristev, D. Borşan, D. Manda, M. Sandu, l. Georgescu, N. Gherbanovschi EDP-Bucureşti, 1983)