GRUPAREA REZISTENELOR Un curent electric de 5 A











































- Slides: 43
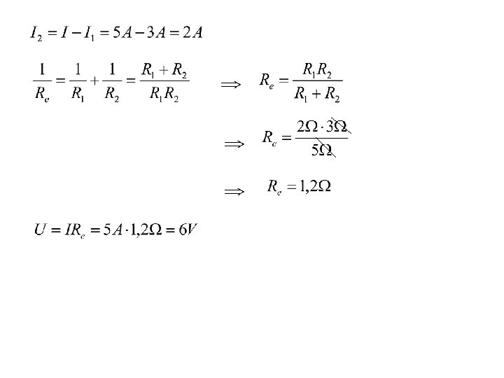
GRUPAREA REZISTENŢELOR Un curent electric de 5 A se desparte pe două conductoare de rezistenţe R 1=2Ω şi respectiv R 2=3Ω legate în paralel. Să se calculeze intensităţile I 1 şi I 2 ale curenţilor prin cele două rezistoare, rezistenţa echivalentă a grupării în paralel şi tensiunea de la bornele acesteia. ( Probleme de fizică pentru admitere în învăţământul superior, T. Creţu, D. Angelescu, I. Vieroşanu-EDP, Bucureşti, 1980 )
În figura alaturată este reprezentat graficul I=f(U) pentru două rezistoare R 1 si R 2. a) Calculați rezistența echivalentă a gruparii în serie formată din cele două rezistoare. b) Calculați rezistența echivalentă a gruparii în paralel formată din cele două rezistoare. ( FIZICA-400 probleme şi 40 teste; D. Bacrău – Ed. Corint-Bucureşti-2003) Valorile pentru calcul se citesc de pe grafic.
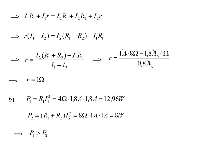
Circuitele electrice din figură conțin două rezistoare R 1=R 2=4Ω și sunt alimentate , pe rând , de același generator electric. Primul corcuit este parcurs de un curent electric I 1=1, 8 A, iar al doilea de un curent electric I 2=1 A. Aflați: a) rezistența interioară a generatorului; b) care circuit absoarbe putere mai mare.
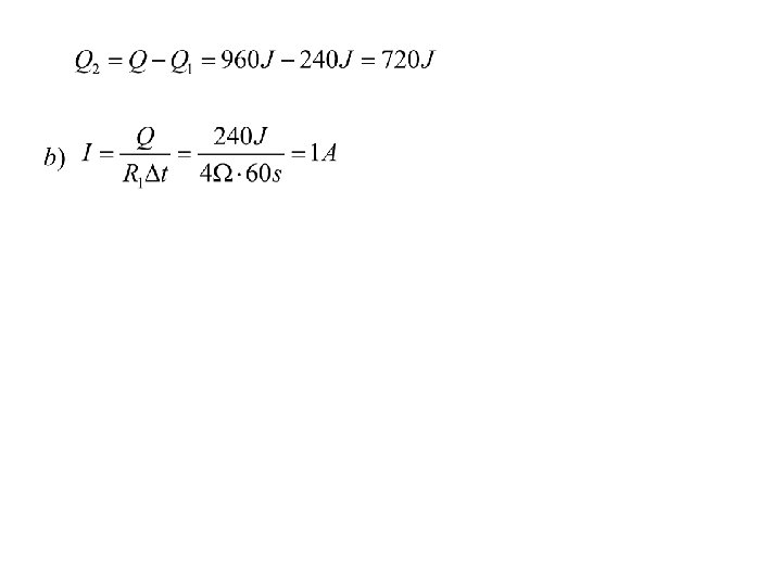
Două rezistoare sunt legate în serie și au valorile 4Ω, resperctiv 12Ω. Ambele rezistoare au degajat căldura 960 J. a) Calculați căldura degajată de fiecare rezistor. b) Aflați intensitatea curentului electric, dacă Δt=1 minut. ( FIZICA-400 probleme şi 40 teste; D. Bacrău – Ed. Corint-Bucureşti-2003)
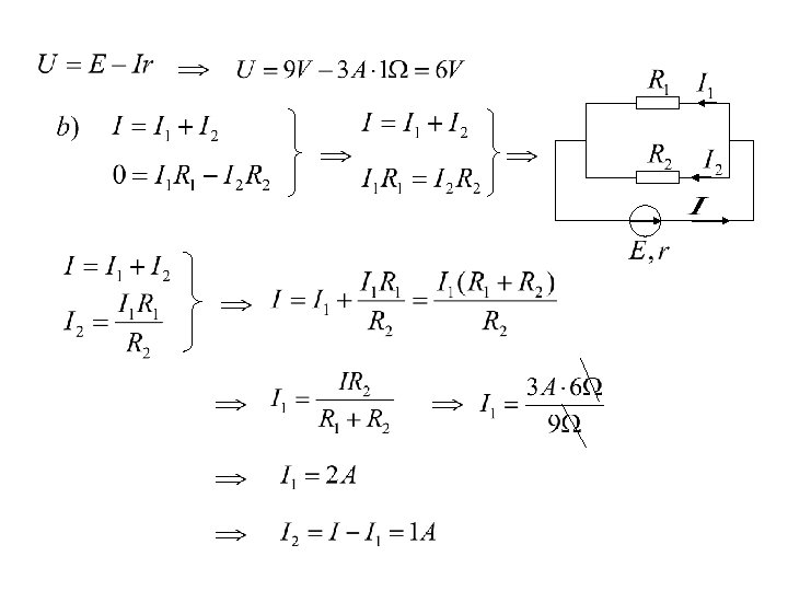
Un generator electric cu tensiunea electromotoare E=9 V și rezistența interioară r=1Ω alimentează un circuit electric, alcătuit din două rezistoare legate în paralel. Rezistențele rezistoarelor au valorile: R 1=3Ω si R 2=6Ω. Aflați: a) tensiunea la bornele bateriei; b) intensitățile curenților electrici stabiliți prin rezistoare. ( FIZICA-400 probleme şi 40 teste; D. Bacrău – Ed. Corint-Bucureşti-2003)
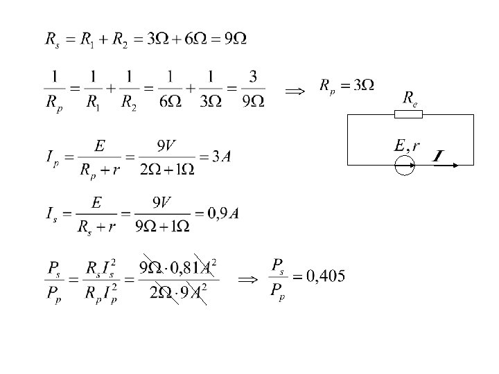
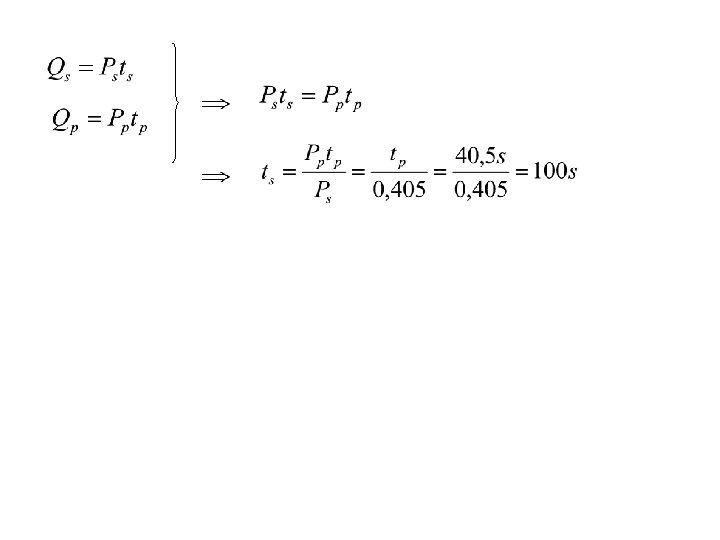
Două rezistoare au rezistențele R 1=3Ω si R 2=6Ω. Se conectează rezistoarele la un generator electric cu tensiunea electromotoare E=9 V și rezistența interioară r=1Ω. Se cere: a) valoarea raportului dintre puterile pe circuitul exterior , la legarea în serie , respectiv în paralel a celor două rezistoare; b) durata trecerii curentului electric prin circuit, la legarea în serie a rezistoarelor, dacă la legarea în paralel se degajă aceeași căldură pe durata tp=40, 5 s. ( FIZICA-400 probleme şi 40 teste; D. Bacrău – Ed. Corint-Bucureşti-2003)
Un generator electric cu tensiunea electromotoare E=9 V și rezistența interioară r=1Ω alimentează un circuit electric, alcătuit din două rezistoare legate în serie. Rezistențele rezistoarelor au valorile: R 1=3Ω si R 2=6Ω. Aflați: a) tensiunea la bornele bateriei; b) tensiunile pe fiecare rezistor. ( FIZICA-400 probleme şi 40 teste; D. Bacrău – Ed. Corint-Bucureşti-2003)
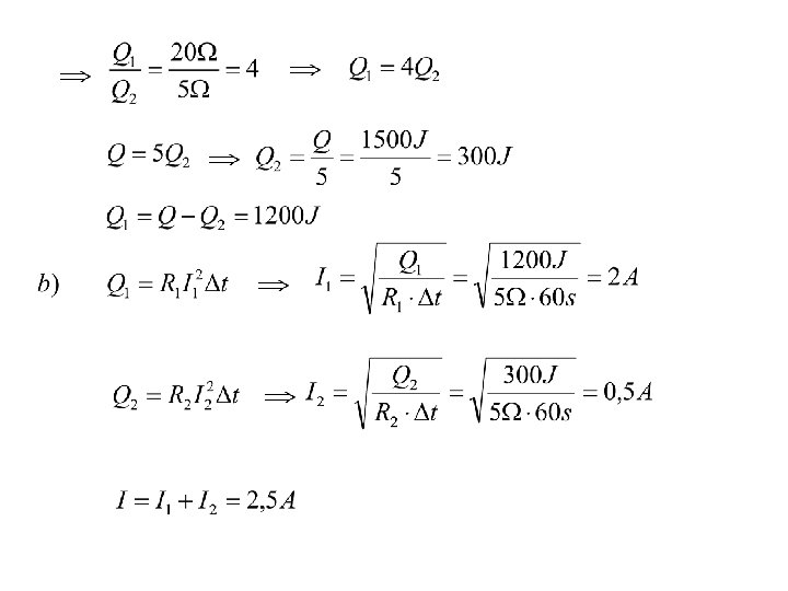
Două rezistoare sunt legate în paralel și degajă împreună căldura Q=1500 J. Valorile lor sunt: 5Ω si 20Ω. a) Calculați căldura degajată de fiecare rezistor. b) Aflați intensitatea curentului electric prin circuitul principal. ( FIZICA-400 probleme şi 40 teste; D. Bacrău – Ed. Corint-Bucureşti-2003)
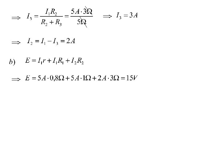
În circuitul electric reprezentat în figură , rezistoarele au rezistenţele : R 1=1Ω, R 2=3Ω, R 3=2Ω, iar intensitatea curentului electric este I 1=5 A. Rezistenţa interioară a generatorului este r=0, 8Ω. Aflaţi: a) intensităţile curenţilor I 2 şi I 2; b) tensiunea elctromotoare a generatorului. ( FIZICA-400 probleme şi 40 teste; D. Bacrău – Ed. Corint-Bucureşti-2003)
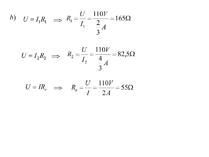
O sursă alimentează sub o tensiune constantă U=110 V, un circuit format din două rezistoare legate în paralel şi având rezistenţele R 1 şi respectiv R 2. Puterea disipată în cele două rezistoare fiind 220 W şi ştiind că o treime din aceasta în R 1 şi restul în R 2 să se calculeze: a) intensitatea curentului I debitat de sursă; b) valorile intensitaţilor curenţilor I 1 şi I 2 prin fiecare rezistor; c) valorile rezistenţelor R 1 si R 2 şi a rezistenţei echivalente. ( Probleme de fizică pentru admitere în învăţământul superior, T. Creţu, D. Angelescu, I. Vieroşanu-EDP, Bucureşti, 1980 )
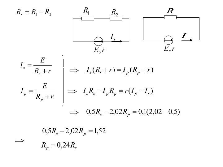
Un circuit electric conține două rezistoare și este alimentat cu un generator electric cu rezistența interioară r=0, 1Ω. Dacă rezistoarele sunt legate în serie , intensiatetea curentului electric este 0, 5 A. Dacă se leagă în paralel, intensitatea curentului electric prin ramura principală este 2, 02 A. Cunoscând că raportul rezistențelor echivalente a rezistoarelor este 0, 24, aflați: a) rezistențele rezistoarelor din circuit; b) tensiunea electromotoarer a generatorului din circuit. ( FIZICA-400 probleme şi 40 teste; D. Bacrău – Ed. Corint-Bucureşti-2003)
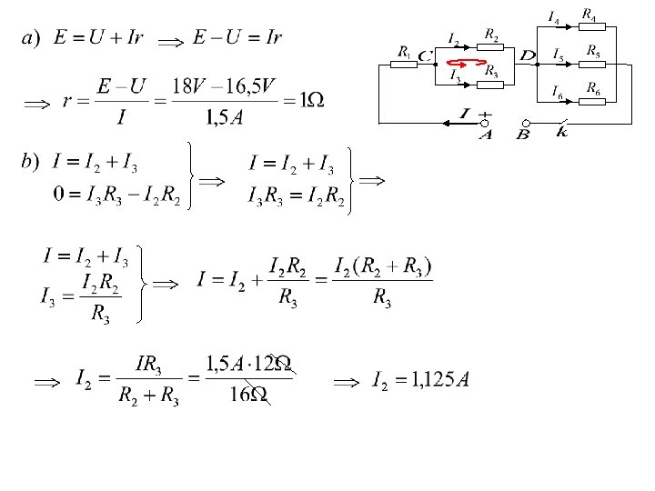
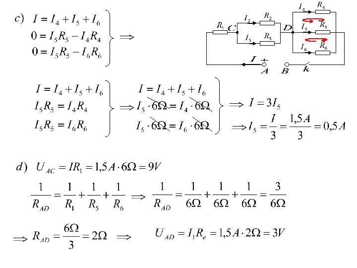
În circuitul reprezentat în figură, rezistoarele au rezistenţele : R 1=R 4=R 5=R 6=6Ω, R 2=4Ω, R 3=12Ω. Dacă întrerupatorul k este deschis, un voltmetru conectat între punctele A şi B indică U 1=18 V. Dacă întrerupatorul este închis, între aceleaşi puncte, voltmetrul indică U 2=16, 5 V, iar prin R 1 intensitatea curentului electric este I=1, 5 A. Se cere: a) reszistenta interioara a generatorului; b) intensitatea curentului electric prin rezistorul R 2; c) intensitatea curentului electric prin rezistorul R 5; d) tensiunile electrice dintre punctele AC, respectiv BD. ( FIZICA-400 probleme şi 40 teste; D. Bacrău – Ed. Corint-Bucureşti-2003)
Rezistenţa electrică aunui rezistor este de n ori mare decât rezistenţa electrică a unui alt rezistor. Cele două rezistoare se cuplează întâi în serie, apoi în paralel. Se cer: a) valoarea raportului rezistenţelor echivalente în cele două cazuri; b) valoarea raportului puterilor absorbite în cele două cazuri, dacă tensiunea aplicată grupărilor este aceiaşi. Aplicaţie numerică: n=4. ( FIZICA-400 probleme şi 40 teste; D. Bacrău – Ed. Corint-Bucureşti-2003)
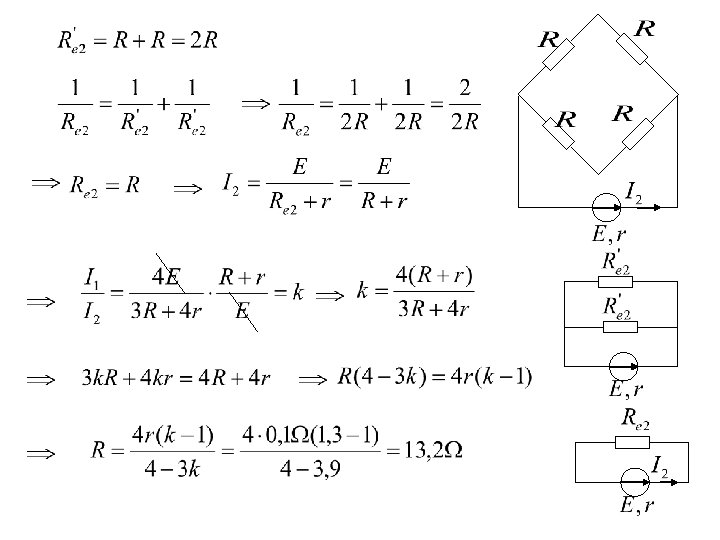
O baterie cu rezistenţa interioară r alimentează circuitul din figură fiind conectată, pe rând, în toate vârfurile posibile. Raporul dintre valoarea maximă şi cea minimă a curentului electric obţinut prin ramura ce conţine bateria este k. Calculaţi rezistenţa electrică a unui rezistor. Aplicaţie numerică: r=1, 1Ω, iar k=1, 3. ( FIZICA-400 probleme şi 40 teste; D. Bacrău – Ed. Corint-Bucureşti-2003)
Un circuit electric contine doua rezistoare si este alimentat cu un generator electric cu rezistenta interioara r=0, 1Ω. Daca rezistorarele sunt legate in serie, intensitatea curentului electric prin circuit este 0, 5 A. Daca se leaga in paralel, intensitatea curentului electri prin ramura principala este 2, 02 A. Cunoscand ca raportul rezistentelor echivalente a rezistoarelor din circuit este 0, 24, aflati: a) rezistentele rezistoarelor din circuit; b) tensiunea electromotoare a generatorului din circuit. ( FIZICA-400 probleme şi 40 teste; D. Bacrău – Ed. Corint-Bucureşti-2003)
Un conductor cu rezistenţa electrică R se împarte în părţi egale şi se realizează un lanţ. Arataţi că oricare ar fi numărul verigiloor , lanţul rezultat are aceiaşi rezistenţa electrică. ( FIZICA-400 probleme şi 40 teste; D. Bacrău – Ed. Corint-Bucureşti-2003) Un conducor cu rezistenţa R împărţit în n părţi egale, produce n conductori, fiecare cu rezistenţa Rn=R/n. Se montează sub formă de lanţ, ca în figură. Fiecare verigă este împărţită în două parţi egale, fiecare cu rezistenţa Rn/2. Sunt n verigi grupate în serie, fiecare cu rzistenţa echivalentă Re. indiferent de n.
Se consideră circuitul din figură. Să se afle rezistenţa exterioară RAB şi intensitatea prin rezistorul de rezistenţă R 1. ( Probleme de fizică pentru admitere în învăţământul superior, T. Creţu, D. Angelescu, I. Vieroşanu-EDP, Bucureşti, 1980 )
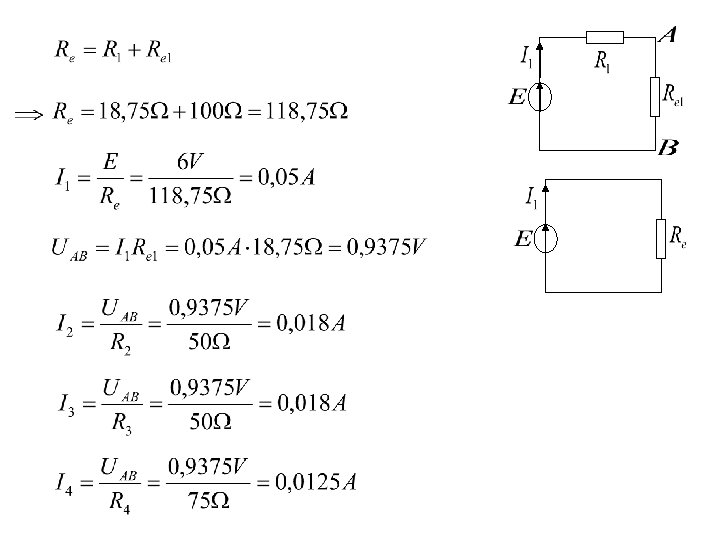
Care este rezistenţa echivalentă a reţelei din figură. Care sunt curenţii din fiecare rezistor? Se consideră următoarele valori: R 1=100Ω, R 2=R 3=50Ω, R 4=75Ω si E=6 V. ( Probleme de fizică pentru admitere în învăţământul superior, T. Creţu, D. Angelescu, I. Vieroşanu-EDP, Bucureşti, 1980 )
Se consideră rezistența echivalentă a circuitului reprezentat în figură, știind că R 1=2Ω, R 2=R 3=R 4=R 5=10Ω, R 6=R 7=20Ω. (FIZICA –Culegere de problme pentru clasa a VIII-a, Olteanu V, Marinescu M, Ed. Almarom, 1992)