Design of CreepResistant Steels Part 1 Microstructure Joe

  • Slides: 44
Download presentation
Design of Creep-Resistant Steels Part 1: Microstructure Joe Robson Harsha Sree Lalam Marimuthu Murgananth

Design of Creep-Resistant Steels Part 1: Microstructure Joe Robson Harsha Sree Lalam Marimuthu Murgananth Thomas Sourmail Nobuhiro Fujita Shingo Yamasaki David Cole CSIRO

0. 5 µm

0. 5 µm

0. 5 µm

0. 5 µm

x

x

a time = t+∆t

a time = t+∆t

b a time = t+∆t

b a time = t+∆t

M 3 C M 2 X 2. 25 Cr 1 Mo 600 °C M

M 3 C M 2 X 2. 25 Cr 1 Mo 600 °C M 23 C 6 Time / h 1000 h

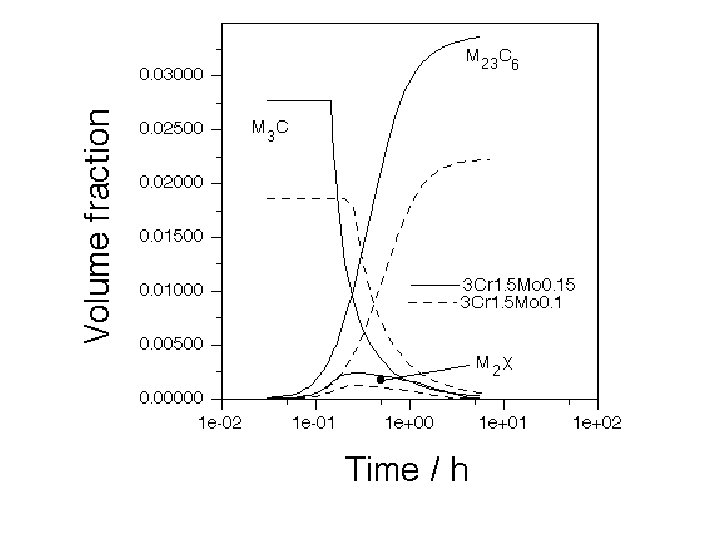
3 Cr 1. 5 Mo 600 °C M 23 C 6 Time / h

3 Cr 1. 5 Mo 600 °C M 23 C 6 Time / h

0. 02500 0. 02000 NF 616 600 °C M 23 C 6 M 3

0. 02500 0. 02000 NF 616 600 °C M 23 C 6 M 3 C 0. 01500 0. 01000 Laves M 2 X 0. 00500 0. 00000 1 e-03 1 e+00 Time / h 1 e+03

Yamasaki & Bhadeshia, 2003

Yamasaki & Bhadeshia, 2003

Brun, Robson, Narayan, Mac. Kay & Bhadeshia, 1998

Brun, Robson, Narayan, Mac. Kay & Bhadeshia, 1998

Components of Creep Strength, 2. 25 Cr 1 Mo 550 °C iron + microstructure

Components of Creep Strength, 2. 25 Cr 1 Mo 550 °C iron + microstructure solid solution 600 °C precipitates Murugananth & Bhadeshia, 2001

elements in solution Murugananth & Bhadeshia, 2001

elements in solution Murugananth & Bhadeshia, 2001

Cole & Bhadeshia, 1999

Cole & Bhadeshia, 1999

Alloys designed at Cambridge University and made by Nippon Steel

Alloys designed at Cambridge University and made by Nippon Steel

Coarsening diffusion flux r concentration 1 q r 2 a aq cr 1 q

Coarsening diffusion flux r concentration 1 q r 2 a aq cr 1 q aq cr 2 distance

Mean radius / m 10 -6 10 -7 10 -8 10 -9 1/3 1/2

Mean radius / m 10 -6 10 -7 10 -8 10 -9 1/3 1/2 10 3 10 4 10 5 10 6 10 7 10 8 10 9 10 10 18 m -3 4 2 10 Number density Time / s 0 2 10 Fujita & Bhadeshia, 2000 10 3 10 4 10 5 10 6 10 Time / s 7

10 1 Data from Abe, 1999 M_23 C_6 size / µm 0 W 1

10 1 Data from Abe, 1999 M_23 C_6 size / µm 0 W 1 W 2 W 4 W 10 0 10 -1 10 -2 10 Fe-9 Cr-W alloys 1 10 2 10 3 Time at 600 °C / h 10 4

Multicomponent coarsening Venugopalan & Kirkaldy, 1978

Multicomponent coarsening Venugopalan & Kirkaldy, 1978

-1 Effective diffusivity / m s 2 Coarsening accelerated by tungsten! Bhadeshia, 2000 1.

-1 Effective diffusivity / m s 2 Coarsening accelerated by tungsten! Bhadeshia, 2000 1. 8 e-19 chromium alone 1. 7 e-19 1. 6 e-19 multicomponent 1. 5 e-19 0 1 2 3 4 Tungsten / wt% 5

Mole fraction of phase 0. 03 M_23 C_6 0. 02 0. 01 0. 00

Mole fraction of phase 0. 03 M_23 C_6 0. 02 0. 01 0. 00 Laves phase 0 1 2 3 Tungsten / wt% 4 5 Bhadeshia, 2000

concentration in ferrite Multiphase coarsening Laves q q distance

concentration in ferrite Multiphase coarsening Laves q q distance

Source code Compiled programs Web-based calculators www. msm. cam. ac. uk/phase-trans

Source code Compiled programs Web-based calculators www. msm. cam. ac. uk/phase-trans