Regression Discontinuity Liang Dai Illustration Suppose we are














- Slides: 14
Regression Discontinuity Liang Dai
Illustration • Suppose we are interested in the cohort effect of elite high school A on the college entrance exam scores (高考) of graduates of middle school M. • One can regress the score of M graduates on a dummy of A attendance • Problem: selection bias – Most talented graduates from M get into A
Way out • Suppose high school enrollment is completely determined by entrance exam scores (中考) • And the graduating class of M is not large enough to affect the cutoff • Di=1 if score Xi>=x 0, and Di=0 if Xi<x 0 • Then we can overcome the selection bias by comparing X graduates with score RIGHT above and below x 0. • Key assumption: all variables other than treatment, e. g. talent, have to be continuous at the cutoff.
Example 1 • Angrist & Lavy, QJE 99 • Does smaller class size enhance scholastic achievement? • Hot policy debate, interesting labor economics question • Challenge: ?
Example 1 • Angrist & Lavy, QJE 99 • Does smaller class size enhance scholastic achievement? • Hot policy debate, interesting labor economics question • Challenge: class size correlated with unobservable factors, e. g. student quality, teacher’s experience, etc.
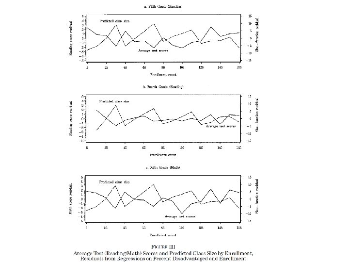
Regression Discontinuity • Maimonides’ rule on Israeli primary school enrollment: class size can’t exceed 40. • E. g. total enrollment=80 => average class size=40; • Total enrollment=81 => average class size=27. • Predicted class size: • f=e/[int((e-1)/40)+1]
Example 2 • Raul, JF 06 • Does a firm’s investment depend on its internal cash holdings, controlling for its investment opportunities (Tobin’s Q)? • Evidence for financial frictions – w/o financial constraints, external capital is as cheap as internal capital (Recall MM), so internal cash holdings don’t matter • Challenge: ?
Example 2 • Raul, JF 06 • Does a firm’s investment depend on its internal cash holdings, controlling for its investment opportunities (Tobin’s Q)? • Evidence for financial frictions – w/o financial constraints, external capital is as cheap as internal capital (Recall MM), so internal cash holdings don’t matter • Challenge: cash holdings are endogenous – Persistence of profit – Measurement error in Q • First large-sample test
Regression Discontinuity • Treatment D: Cash • Running variable X: defined pension plan balance • Discontinuity: when defined pension plan is in deficit, the firm has to contribute its cash to it. Not otherwise • Exogeneity of cutoff: funding status mostly determined by value of the asset side of pension fund, independent of firm’s investment opportunity – Analogy: Whether you are just below or above cutoff of exam scores must be independent of talent
Firms contribute mostly when funding status <0
Investment correlated with funding status only to the left of 0