Mekanika Fluida II Week 5 Aliran kritis superkritis


















- Slides: 18
Mekanika Fluida II Week #5
Aliran kritis, superkritis, dan sub kritis Variasi energi spesifik berdasarkan perubahan kedalaman
Untuk suatu debit tetap : Energi spesifik minimum pada kedalaman Yc. Kedalaman ini dikenal sebagai kedalaman kritis. Untuk nilai lain dari energi spesifik terdapat dua macam kedalaman : aliran subkritis y > yc aliran superkritis y < yc Untuk suatu energi tetap Debit aliran akan maksimum pada kedalaman kritis Yc.
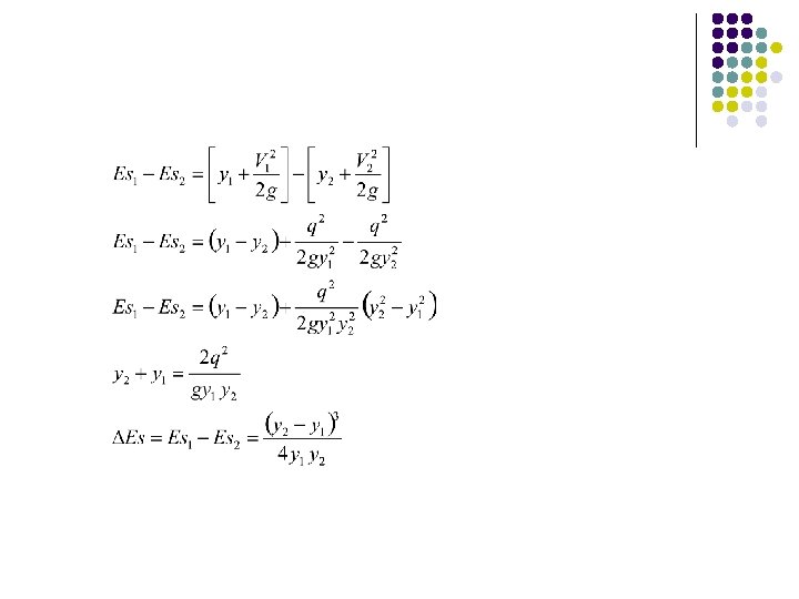
Persamaan kedalaman kritis dapat diperoleh dengan mendiferensiasikan Es Karena dengan limit Karena Q = q b, B = b dan A = by dan mengambil a = 1
Substitusi Yc ke persamaan energi maka akan diperoleh Bilangan Froude
Fr < 1 sub kritis kecepatan air < kecepatan gelombang hulu aliran dipengaruhi pengendali hilir Fr = 1 kritis Fr >1 super kritis kecepatan air > kecepatan gelombang hulu aliran tidak dipengaruhi pengendali hilir Aliran sub dan super kritis
Saluran dengan lebar 6 meter mengalirkan air 20 m 3/det. Tentukan kedalaman air ketika energi spesifik dari aliran minimum. Q = 20 m 3/det b=6 m q = Q/b = 20/6 = 3, 33 m 3/det (permeter lebar aliran) yc= (q 2/g)1/3 = (3, 332/9, 81)1/3 = 1, 04 m
Tentukan kecepatan kritis (kecepatan pada saat kedalaman kritis) pada soal di atas Vc = q/yc = 3, 33/ 1, 04 = 3, 2 m/det
Hitunglah energi spesifik minimum. Esc = 3/2 Yc = 3/2 * 1, 04 m = 4, 56 m Tentukan tipe alirannya jika kecepatan rata-ratanya 2 m/det. Tipe aliran : Yc = 1, 04 m Yn = Q/(V. b) = 20 / (2. 6) = 1, 6 m Karena Yn > Yc aliran tenang.
Aplikasi persamaan momentum untuk aliran berubah cepat Gaya-gaya pada aliran yang meliputi hydraulic jump
Pada debit konstan Dari substitusi dapat diperoleh atau Penurunan lebih lanjut dapat diperoleh
Manakah yang benar ? a. Yc = 3/2 Es b. Yc = 2 Es c. Yc = 2/3 Es d. Yc = 3 Es
Panjang loncatan air Tidak ada rumus teoritis yang dapat digunakan untuk menghitungnya. Panjang loncatan air dapat ditentukan dengan percobaan di laboratorium. Untuk saluran segiempat, panjang loncatan air diambil 5 – 7 kali tinggi loncatan air. Smetana (1953): L = {Range(5 -7)}(y 2 -y 1) Woyeski (1931): L = {8 -0, 05(y 2 -y 1)}(y 2 -y 1)
contoh l Saluran segi empat dengan lebar 3 m mengalirkan air dengan debit 15 m 3/det pada kedalaman 0, 6 m sebelum masuk ke loncatan air. Hitunglah kedalaman kritis dan kedalaman air di hilir serta panjang loncatan
q = 15/3 = 5 m 3/d/m Kedalaman kritis yc = (5^2/9, 81)^(1/3)=1, 366 Kecepatan aliran = V 1 = q/ y 1 = 5 / 0, 6 = 8, 33 m/det Bilangan Froude hulu saluran Fr 1 = 8, 33 / (9, 81 x 0, 6)^(0, 5) = 3, 435 Kedalaman di hilir Diperoleh y 2 = 2, 63 m Panjang loncat air = R{5 – 7} ( 2, 63 – 0, 6 ) = R{10 – 14} m