Effects of Changes in Shaft Load Shaft load



















- Slides: 19
Effects of Changes in Shaft Load Shaft load is doubled – Iacosθi and Efsinδ must double
Effects of Changes in Shaft Load Since Field Excitation is constant, Ef traces a circular arc, δ increases θi decreases, increasing the power factor – continues until δ=90 -- pullout
Effects of Changes in Field Excitation Voltage on Synchronous-Motor Performance Apply step changes to Ef
Effects of Changes in Field Excitation Voltage on Synchronous-Motor Performance Efsinδ must be constant Apply step changes to Ef
Effects of Changes in Field Excitation Voltage on Synchronous-Motor Performance • Increasing the strength of the magnets should cause a closer pole alignment and a smaller power angle. • Assuming a constant shaft load, – apply a step increase to Ef – Efsinδ increases, the rotor accelerates – angle δ decreases until Efsinδ has the same value as before (synchronous speed)
Effects of Changes in Field Excitation Voltage on Synchronous-Motor Performance Iacosθ constant Efsinδ constant Apply step changes to Ef
Effects of Changes in Field Excitation Voltage on Synchronous-Motor Performance • For constant shaft load, – P is proportional to Efsinδ – Ef 1 sinθ 1 = Ef 2 sinθ 2 = Ef 3 sinθ 3 = Efsinθ – Locus of the tip of the Ef phasor is parallel to the VT phasor – P is proportional to Iacosθ – Ia 1 cosθ 1 = Ia 2 cosθ 2 = Ia 3 cosθ 3 = Iacosθ – Locus of tip of the Ia phasor is perpendicular to the VT phasor
Effects of Changes in Field Excitation Voltage on Synchronous-Motor Performance Iacosθ constant Efsinδ constant Apply step changes to Ef
Effects of Changes in Field Excitation Voltage on Synchronous-Motor Performance • IMPORTANT!!!! – Increasing the excitation from Ef 1 to Ef 3 caused the angle if the current phasor (and hence the power factor) to go from lagging to leading! – Normal excitation when power factor = 1 – Excitation greater than normal is known as overexcitation – Excitation less than normal is known as underexcitation
Effects of Changes in Field Excitation Voltage on Synchronous-Motor Performance Iacosθ constant Power factor changes from lagging to leading Efsinδ constant Apply step changes to Ef
V Curves • Plot armature current as a function of field current or armature current as a function of excitation voltage.
V-Curves
Stability Limit is where angle δ = -90° -- the rotor is still synchronized
V-Curves continued • Constant-Load V-Curves can be plotted from laboratory data, phasor diagrams, or from the following expression
Example 8. 2 • Referring to the V-curve for 100% load, determine – a) the minimum value of excitation that will maintain synchronism 98 V 100% rated load
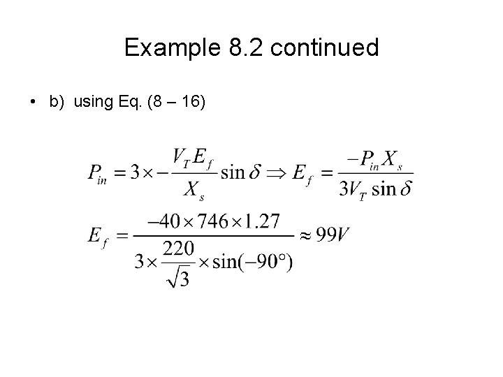
Example 8. 2 continued • b) using Eq. (8 – 16)
Example 8. 2 continued • Repeat (a) using Eq. (8 -21) Make the quantity under the radical = 0 for minimum excitation
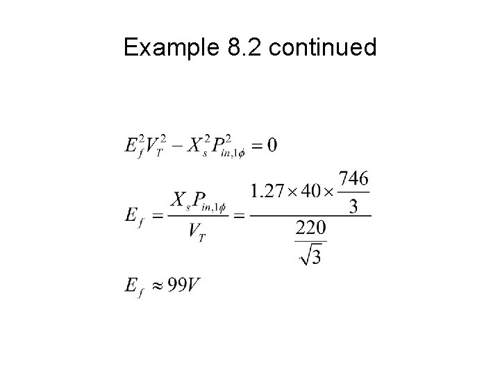
Example 8. 2 continued
Example 8. 2 continued • d) the power angle if the field excitation voltage is increased to 175% of the stability limit determined in (c).