CHAPTER 11 Kinematics of Particles 11 1 INTRODUCTION

















































- Slides: 49
CHAPTER 11 Kinematics of Particles
11. 1 INTRODUCTION TO DYNAMICS n n Galileo and Newton (Galileo’s experiments led to Newton’s laws) Kinematics – study of motion Kinetics – the study of what causes changes in motion Dynamics is composed of kinematics and kinetics
RECTILINEAR MOTION OF PARTICLES
11. 2 POSITION, VELOCITY, AND ACCELERATION For linear motion x marks the position of an object. Position units would be m, ft, etc. Average velocity is Velocity units would be in m/s, ft/s, etc. The instantaneous velocity is
The average acceleration is The units of acceleration would be m/s 2, ft/s 2, etc. The instantaneous acceleration is
Notice If v is a function of x, then One more derivative
Consider the function x(m) Plotted 32 16 0 2 4 6 t(s) v(m/s) 12 0 t(s) -12 -24 -36 a(m/s 2) 12 0 -12 -24 t(s)
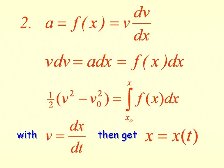
11. 3 DETERMINATION OF THE MOTION OF A PARTICLE Three common classes of motion
with then get
or Both can lead to
11. 4 UNIFORM RECTILINEAR MOTION
11. 5 UNIFORMLY ACCELERATED RECTILINEAR MOTION Also
11. 6 MOTION OF SEVERAL PARTICLES When independent particles move along the same line, independent equations exist for each. Then one should use the same origin and time.
Relative motion of two particles. The relative position of B with respect to A The relative velocity of B with respect to A
The relative acceleration of B with respect to A
Let’s look at some dependent motions.
G x. A C D x. B A E F B System has one degree of freedom since only one coordinate can be chosen independently. Let’s look at the relationships.
x. C x. A C A B System has 2 degrees of freedom. Let’s look at the relationships. x. B
11. 7 GRAPHICAL SOLUTIONS OF RECTILINEAR-MOTION n Skip this section.
11. 8 OTHER GRAPHICAL METHODS n Skip this section.
CURVILINEAR MOTION OF PARTICLES 11. 9 POSITION VECTOR, VELOCITY, AND ACCELERATION y P’ P x Let’s find the instantaneous velocity. z
y P’ P x z
y x y z P’ Note that the acceleration is not necessarily along the direction of the velocity. P x z
11. 10 DERIVATIVES OF VECTOR FUNCTIONS
Rate of Change of a Vector The rate of change of a vector is the same with respect to a fixed frame and with respect to a frame in translation.
11. 11 RECTANGULAR COMPONENTS OF VELOCITY AND ACCELERATION
y y P x z
y x z
Velocity Components in Projectile Motion
11. 12 MOTION RELATIVE TO A FRAME IN TRANSLATION y’ B y A O z z’ x x’
11. 13 TANGENTIAL AND NORMAL COMPONENTS Velocity is tangent to the path of a particle. Acceleration is not necessarily in the same direction. It is often convenient to express the acceleration in terms of components tangent and normal to the path of the particle.
Plane Motion of a Particle y P’ P O x
y P’ P O x
Discuss changing radius of curvature for highway curves
Motion of a Particle in Space y P’ P O z The equations are the same. x
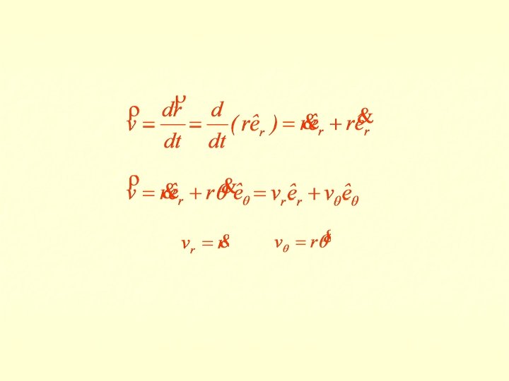
11. 14 RADIAL AND TRANSVERSE COMPONENTS Plane Motion y P x
y x
Note
Extension to the Motion of a Particle in Space: Cylindrical Coordinates