Announcements Assignment 0 due now solutions posted later



















- Slides: 19
Announcements • Assignment 0 due now. – solutions posted later today • Assignment 1 posted, – due Thursday Sept 22 nd • Question from last lecture: – Does VTH=INRTH – Yes!
Lecture 5 Overview • Alternating Current • AC Components. • AC circuit analysis
Alternating Current pure DC V • pure direct current = DC • Direction of charge flow (current) always the same and constant. pulsating DC V • pulsating DC • Direction of charge flow always the same but variable • AC = Alternating Current pulsating DC V V • Direction of Charge flow alternates -V AC
Why use AC? The "War of the Currents" • Late 1880's: Westinghouse backed AC, developed by Tesla, Edison backed DC (despite Tesla's advice). Edison killed an elephant (with AC) to prove his point. • http: //www. youtube. com/watch? v=Rk. BU 3 a. Ysf 0 Q • Turning point when Westinghouse won the contract for the Chicago Worlds fair • Westinghouse was right • PL=I 2 RL: Lowest transmission loss uses High Voltages and Low Currents • With DC, difficult to transform high voltage to more practical low voltage efficiently • AC transformers are simple and extremely efficient - see later. • Nowadays, distribute electricity at up to 765 k. V
AC circuits: Sinusoidal waves • Fundamental wave form • Fourier Theorem: Can construct any other wave form (e. g. square wave) by adding sinusoids of different frequencies • x(t)=Acos(ωt+ ) • f=1/T (cycles/s) • ω=2πf (rad/s) • =2π(Δt/T) rad/s • =360(Δt/T) deg/s
RMS quantities in AC circuits • What's the best way to describe the strength of a varying AC signal? • Average = 0; Peak=+/ • Sometimes use peak-to-peak • Usually use Root-mean-square (RMS) • (DVM measures this)
i-V relationships in AC circuits: Resistors Source vs(t)=Asinωt v. R(t)= vs(t)=Asinωt v. R(t) and i. R(t) are in phase
Complex Number Review Phasor representation 2 2
i-V relationships in AC circuits: Resistors Source vs(t)=Asinωt v. R(t)= vs(t)=Asinωt v. R(t) and i. R(t) are in phase Complex representation: v. S(t)=Asinωt=Acos(ωt-90)=real part of [VS(jω)] where VS(jω)= A[cos(ωt-90)-jsin(ωt-90 )]=Aej (ωt-90) Phasor representation: VS(jω) =A (ωt-90) IS(jω)=(A/R) (ωt-90) Impedance=complex number of Resistance Z=VS(jω)/IS(jω)=R Generalized Ohm's Law: VS(jω)=ZIS(jω) http: //arapaho. nsuok. edu/%7 Ebradfiel/p 1215/fendt/phe/accircuit. htm
Capacitors What is a capacitor? Definition of Capacitance: C=q/V Capacitance measured in Farads (usually pico - micro) Energy stored in a Capacitor = ½CV 2 (Energy is stored as an electric field) In Parallel: V=V 1=V 2=V 3 q=q 1+q 2+q 3 i. e. like resistors in series
Capacitors In Series: V=V 1+V 2+V 3 q=q 1=q 2=q 3 i. e. like resistors in parallel No current flows through a capacitor In AC circuits charge buildup/discharge mimics a current flow. A Capacitor in a DC circuit acts like a break (open circuit)
Capacitors in AC circuits Capacitive Load "capacitive reactance" • Voltage and current not in phase: • Current leads voltage by 90 degrees (Physical - current must conduct charge to capacitor plates in order to raise the voltage) • Impedance of Capacitor decreases with increasing frequency http: //arapaho. nsuok. edu/%7 Ebradfiel/p 1215/fendt/phe/accircuit. htm
Inductors What is an inductor? Definition of Inductance: v. L(t)=-Ld. I/dt Measured in Henrys (usually milli- micro-) Energy stored in an inductor: WL= ½ Li. L 2(t) (Energy is stored as a magnetic field) • Current through coil produces magnetic flux • Changing current results in changing magnetic flux • Changing magnetic flux induces a voltage (Faraday's Law v(t)=-dΦ/dt)
Inductors Inductances in series add: Inductances in parallel combine like resistors in parallel (almost never done because of magnetic coupling) An inductor in a DC circuit behaves like a short (a wire).
Inductors in AC circuits Inductive Load (back emf ) from KVL • Voltage and current not in phase: • Current lags voltage by 90 degrees • Impedance of Inductor increases with increasing frequency http: //arapaho. nsuok. edu/%7 Ebradfiel/p 1215/fendt/phe/accircuit. htm
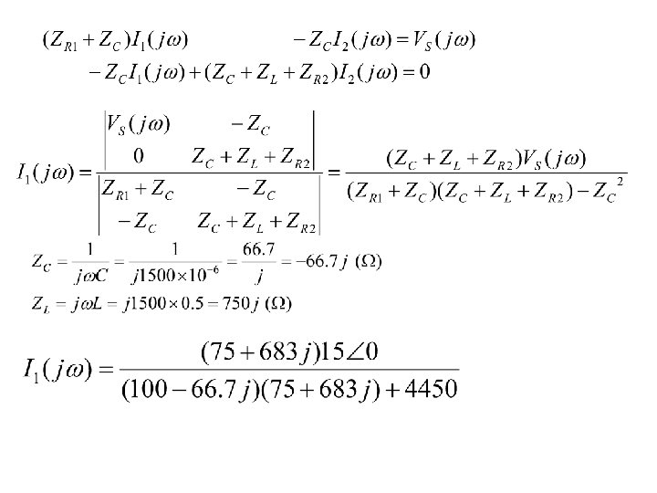
AC circuit analysis • Effective impedance: example • Procedure to solve a problem – – Identify the sinusoid and note the frequency Convert the source(s) to complex/phasor form Represent each circuit element by it's AC impedance Solve the resulting phasor circuit using standard circuit solving tools (KVL, KCL, Mesh etc. ) – Convert the complex/phasor form answer to its time domain equivalent
Example
Top: Bottom: