4 Ukady mnoce 4 1 Wstp Idealny ukad

























- Slides: 25
4. Układy mnożące 4. 1. Wstęp Idealny układ mnożący (4. 1. 1) gdzie : u 0 - napięcie wyjściowe, ux, uy - napięcia wejściowe, km = 1/ER - stała skalowania, ER - normujące napięcie odniesienia, zazwyczaj równe +10 V lub -10 V.
Operację mnożenia można zrealizować w układach elektronicznych: a) bezpośrednio - wykorzystanie zjawisk zachodzących w półprzewodnikach (efekt Gaussa, Halla), - metoda sterowanego podziału prądu lub zmiennej transkonduktancji , b) pośrednio - metoda z zastosowaniem operacji logarytmowania i delogarytmowania, - metoda z zastosowaniem kwadratorów, - metoda modulacji szerokości i amplitudy impulsów
4. 2. Metody mnożenia bezpośredniego 4. 2. 1. Układ dwućwiartkowy Podstawowym blokiem stosowanym w różnych rozwiązaniach układów mnożenia bezpośredniego jest wzmacniacz różnicowy, w którym wydajność źródła prądowego można regulować dodatkowym napięciem u. Y (rys. 4. 2. 1. 1. ) Napięcie sterujące u. X może być dodatnie lub ujemne, natomiast napięcie u. Y ( w tym rozwiązaniu) może być tylko dodatnie. Stąd efekt mnożenia może wystąpić tylko w pierwszej i trzeciej ćwiartce (układ dwućwiartkowy lub dwukwadrantowy)
+ ECC RC 1 RC 2 u 2 R i. C 1 u 2 R i 0’’>i 0’ i. C 2 i 0 ’ T 1 T 2 ux ux tgh i 0(uy) uy RE -EEE Układ dwućwiartkowy Rys. 4. 2. 1. 1. Metoda sterowanego podziału prądu (układy różnicowe o zmiennej transkonduktancji)
i. O = i. E 1 + i. E 2 ( 4. 2. 1. 1) ( 4. 2. 1. 2) u. X = u. BE 1 – u. BE 2 ( 4. 2. 1. 3) Jeśli RC 1 = RC 2 = RC ( 4. 2. 1. 4) ( 4. 2. 1. 5) Źródło sterowane i 0 ma dwie składowe i 0 = I 0 + g m u. Y ( 4. 2. 1. 6)
Podstawiając (4. 2. 1. 5) do (4. 2. 1. 6) otrzymujemy ( 4. 2. 1. 7) Jeśli | u. X | << 2φT ( 4. 2. 1. 8) ( 4. 2. 1. 9) Pierwszy człon równania (4. 2. 1. 9) wyraża wzmocnienie napięcia u. X, natomiast drugi – mnożenie u. X u. Y. Gdy u. X = 0 to i u 2 R = 0, natomiast gdy u. Y = 0 to w ogólnym przypadku u 2 R 0. Oznacza to, że wyjście układu mnożnika dwućwiartkowego jest zrównoważone względem sygnału u. X, a nie jest zrównoważone względem sygnału u. Y. .
Wyrażenie (4. 2. 1. 7) można przedstawić w postaci ( 4. 2. 1. 10) Układ ten może być zatem traktowany jako wzmacniacz sygnału różnicowego u. X o zmiennej transkonduktacji g m’ , modulowanej przez sygnał u. Y. Układ ten jest nazywany również modulatorem pojedynczo zrównoważonym (względem u. X)
Rys. 4. 2. 1. 2. Układ mnożnika dwućwiartkowego – symulacja programem PSpice
VR 4 ΔV 4= + 2, 5 V ΔV 4= 0 V ΔV 4= - 2, 5 V Rys. 4. 2. 1. 3. Wynik symulacji komputerowej układu z rys. 4. 2. 1. 2 dla dużych zmian napięcia sterującego V 3
ΔV 4= + 2, 5 V V 4= - 2, 5 V ΔV 4 = 0 V Rys. 4. 2. 1. 3. Wynik symulacji komputerowej układu z rys. 4. 2. 1. 2 dla małych zmian napięcia sterującego V 3
4. 2. 2. Układ czteroćwiartkowy Rysunek 4. 2. 2. 1 przedstawia układ mnożący czteroćwiartkowy, w którym oba sygnały sterujące u. X i u. Y mają symetryczne wejścia różnicowe. W odróżnieniu od układu dwućwiartkowego, w układzie czteroćwiartkowy napięcie wyjściowe u 2 R jest równe zeru, jeśli tylko którykolwiek z sygnałów (u. X lub u. Y ) jest równy zeru. Układ ten nazywany jest zatem modulatorem podwójnie zrównoważonym.
+ ECC RC RC u 2 R i. C 1 i. C 2 i. C 4 i. C 3 T 1 T 2 T 3 T 4 i. C 5 i. C 6 Ux T 5 T 6 Uy I 0 -EEE Rys. 4. 2. 2. 1. Układ czteroćwiartkowy
Przeprowadzając obliczenia podobnie jak dla układu mnożnika dwućwiartkowego otrzymamy zależność ( 4. 2. 2. 1) Przybliżenie jest słuszne tylko w przypadku, gdy |u. X | i | u. Y | << 2φT Aby zwiększyć zakresy napięć sterujących, przy których układ Powyższy mnoży poprawnie, konieczna jest linearyzacja układu.
u. YIV < u. YIII uy. II > u. YI u 2 R u. YIII < 0 u. Y = 0 u. YI > 0 0 ux Rys. 4. 2. 2. 2. Charakterystyki układu czteroćwiartkowego tgh !!!!
Rys. 4. 2. 2. 3. Układ mnożnika czteroćwiartkowego – symulacja programem PSpice
VR 4 V 4= - 15 m. V ΔV 4= - 30 m. V ΔV 4=0 V ΔV 4= + 15 m. V ΔV 4= + 30 m. V Rys. 4. 2. 2. 4. Wynik symulacji komputerowej układu z rys. 4. 2. 2. 3 dla dużych zmian napięcia sterującego V 3
ΔV 4= - 15 m. V ΔV 4= - 30 m. V ΔV 4= + 15 m. V ΔV 4= 0 V ΔV 4= + 30 m. V Rys. 4. 2. 2. 5. Wynik symulacji komputerowej układu z rys. 4. 2. 2. 3 dla małych zmian napięcia sterującego V 3
4. 2. 3. Układ czteroćwiartkowy z przetwornikiem Gilberta Linearyzację charakterystyk układu mnożącego można uzyskać poprzez : -zastosowanie tzw. Przetwornika Gilberta, - zastosowanie dużych rezystancji w obwodach emiterów. Zastosowanie dużych rezystorów emiterowych powoduje znaczne zmniejszenie nieliniowości układu, ale jednocześnie zmniejsza nachylenie charakterystyk układu mnożącego.
ECC RCM RC i. A+i. B=const D 1 D 2 RC i. C 7 i. C 8 T 7 T 8 u. G Jeśli : złącza diodowe i złącza emiterowe mają identyczne charakterystyki napięciowoprądowe, to przy spełnieniu warunków : i. C 7+i. C 8=const, i. A+i. B=const i. C 8/i. C 7 = i. A/i. B i. A I 0=i. C 7+C 8 i. B Rys. 4. 2. 3. 1. Układ czteroćwiartkowy z mnożnikiem Gilberta
+ ECC RC RCM D 2 D 1 RC u 2 R i. C 1 i. C 2 T 1 T 2 i. B=I 01+ix I 01 I 02+iy T 8 ux RX T 3 T 4 u. G i. A=I 01 -ix T 7 i. C 4 i. C 3 ix I 02 -iy T 5 I 01 I 02 iy uy RY T 6 I 02 -EEE Rys. 4. 2. 3. 2. Układ czteroćwiartkowy z mnożnikiem Gilberta i rezystorami emiterowymi
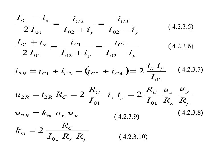
( 4. 2. 3. 1) ( 4. 2. 3. 2) Dla par różnicowych T 1 - T 2 , T 3 - T 4, , otrzymujemy ( 4. 2. 3. 3) ( 4. 2. 3. 4)
Na podstawie (4. 2. 3. 2) można napisać co wraz z równaniem (4. 2. 3. 3. ) umożliwia zapis i w efekcie końcowym obliczyć Podobnie obliczamy i. C 2, i. C 3, i. C 4. Uzyskujemy wówczas zależność (4. 2. 3. 5) i (4. 2. 3. 6)
u 0 + 10 V uy = + 5 V Uy = 0 - 10 V 0 +10 V ux uy = - 5 V uy = - 10 V Rys. 4. 2. 3. 3 Typowe charakterystyki zlinearyzowanego układu mnożącego
4. 3. Błędy w rzeczywistym układzie mnożącym ( 4. 3. 1) gdzie : Δ , δ oznaczają odpowiednio bezwzględny i względny błąd mnożenia Na błąd ten składa się wiele czynników : ( 4. 3. 2) gdzie : Uxn, Uyn - napięcia niezrównoważenia wzmacniaczy różnicowych, ER - błąd normującego napięcia odniesienia.