SPECIALIST MATHS Calculus Week 5 Integral Calculus with

  • Slides: 32
Download presentation
SPECIALIST MATHS Calculus Week 5 Integral Calculus with Trigonometric Functions

SPECIALIST MATHS Calculus Week 5 Integral Calculus with Trigonometric Functions

Revision of Integrals from Mathematical Studies • 1. • 2. • 3.

Revision of Integrals from Mathematical Studies • 1. • 2. • 3.

Example 10 (Ex 7 D 1&2)

Example 10 (Ex 7 D 1&2)

Solution to Example 10

Solution to Example 10

Anti Chain Rule • 1. • 2. • 3.

Anti Chain Rule • 1. • 2. • 3.

Example 11 (Ex 7 D 1&2)

Example 11 (Ex 7 D 1&2)

Solution to Example 11(a)

Solution to Example 11(a)

Solution to Example 11(b)

Solution to Example 11(b)

Integrals of Trigonometric Functions

Integrals of Trigonometric Functions

Anti Chain Rule

Anti Chain Rule

Example 12 (Ex 7 D 1&2) Integrate of the following function:

Example 12 (Ex 7 D 1&2) Integrate of the following function:

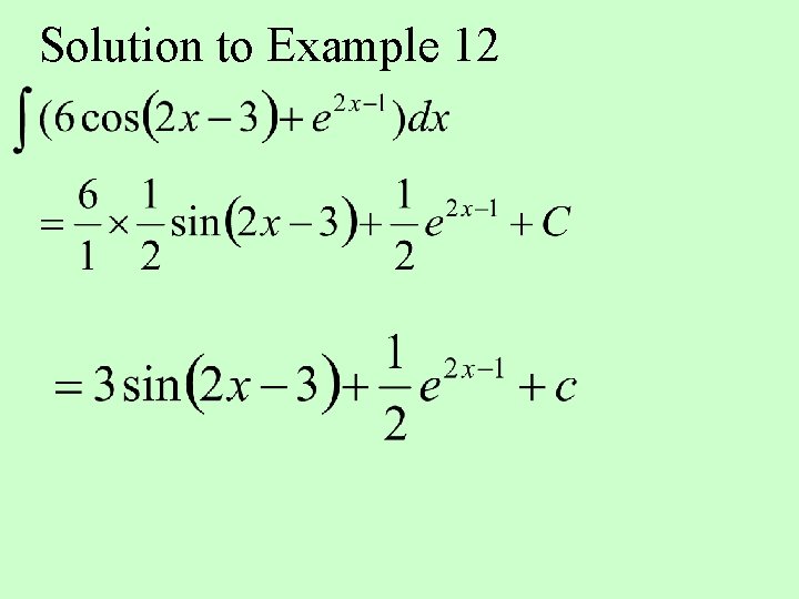
Solution to Example 12

Solution to Example 12

Example 13 (Ex 7 D 1&2) Integrate of the following function:

Example 13 (Ex 7 D 1&2) Integrate of the following function:

Solution to Example 13

Solution to Example 13

Example 14 (Ex 7 D 1&2)

Example 14 (Ex 7 D 1&2)

Solution to Example 14

Solution to Example 14

Example 15 (Ex 7 D 1&2)

Example 15 (Ex 7 D 1&2)

Solution to Example 15

Solution to Example 15

Example 16 (Ex 7 D 1&2) Integrate of the following function:

Example 16 (Ex 7 D 1&2) Integrate of the following function:

Solution to Example 16 Use the formula therefore From formula sheet

Solution to Example 16 Use the formula therefore From formula sheet

Example 17 (Ex 7 D 1&2) Integrate of the following function:

Example 17 (Ex 7 D 1&2) Integrate of the following function:

Solution to Example 17 Use the formula therefore from formula sheet

Solution to Example 17 Use the formula therefore from formula sheet

Example 18 (Ex 7 D 1&2) Integrate of the following function:

Example 18 (Ex 7 D 1&2) Integrate of the following function:

Solution to Example 18 Use from formula sheet

Solution to Example 18 Use from formula sheet

Example 19 (Ex 7 D 1&2) Find and given

Example 19 (Ex 7 D 1&2) Find and given

Solution to Example 19 therefore

Solution to Example 19 therefore

Integration by Substitution

Integration by Substitution

Example 20 (Ex 7 D 1&2)

Example 20 (Ex 7 D 1&2)

Solution to Example 20

Solution to Example 20

Example 21 (Ex 7 D 1&2)

Example 21 (Ex 7 D 1&2)

Solution to Example 21

Solution to Example 21

This Week • Calculus Study Guide week 6 pages 65 to 70. • Exercise

This Week • Calculus Study Guide week 6 pages 65 to 70. • Exercise 7 D 1 Q 1 – 4 • Exercise 7 D 2 Q 1 - 10