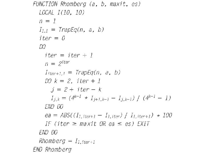
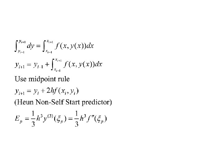
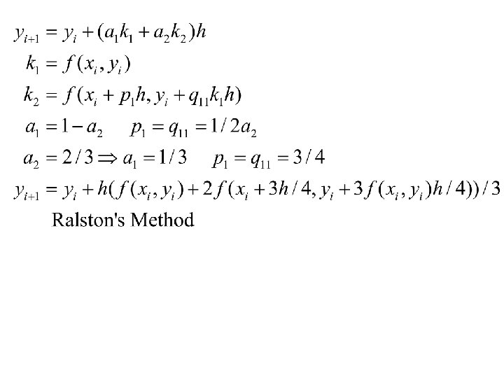
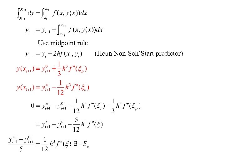
Richardson Extrapolation Romberg Integration and ODE Modifiers If

Sign up to view full document!
SIGN UP
  • Slides: 34
Download presentation