Origins of life MillerUrey experiment 1953 A M
































- Slides: 32
Origins of life
Miller-Urey experiment 1953
A. M. Saittaa, F. Saijac, Miller experiments in atomistic computer simulations PNAS, 111, 38 (2014) 13768 Molecular Dynamics DFT – plane-wave/PBE method (i) a reactants box MS 01: 8 H 2 O, 8 NH 3, 8 CH 4, 10 CO, and 5 N 2 molecules; (ii) intermediate MS 02 box: containing nine molecules each of water, ammonia, formaldehyde, and hydrogen cyanide; (iii) the final products MS 03 box: nine glycine and nine ammonia molecules Zero-field evolution MS 01, MS 03 no new compounds MS 02 H 2 CO formaldehide + NH 3 ammonia HCONH 2 formamide Electric field 0. 35 V/Å MS 01 HCOOH formic acid, HCONH 2 formamide
Met. D 01 box: 1 CO, 1 NH 3, 30 H 2 O HCONH 2 formamide
Miller-Urey experiment H 2 O, NH 3, CH 4, CO 2, CO, H 2, N 2 glycine MS 01: 8 H 2 O, 8 NH 3, 8 CH 4, 10 CO, and 5 N 2 molecules MF 01: 8 HCOOH formic acid, HCONH 2 formamide, 8 H 2 O, 8 NH 3, 8 CO (no inert CH 4, N 2) glycine
NH=CH-(OH)3 Hydroxyglycine NH=CH–COOH dehydroglycine NH 2 -CH 2–COOH glycine
THEORETICAL STUDY OF GLYCINE CONFORMERS, Journal of Theoretical and Computational Chemistry, Vol. 7, No. 4 (2008) 889 0. 00 0. 45 0. 43 B 3 LYP/631+G* ∆E(kcal/mol) 1. 44 1. 44 1. 47 5. 27 2. 77 5. 80 11. 56 7. 63
Phys. Chem. Phys. , 2004, 6, 2563 MP 2/6 -311++G** kcal=4. 2 k. J
Phys. Chem. Phys. , 2013, 15, 10094 hybrid CC/DFT
RNA World
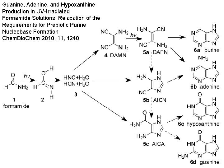
Guanine, Adenine, and Hypoxanthine Production in UV-Irradiated Formamide Solutions: Relaxation of the Requirements for Prebiotic Purine Nucleobase Formation Chem. Bio. Chem 2010, 11, 1240
RNA or DNA Protein coating Viroid RNA don’t code any protein No protein coating RNA structure function 1971 Potato spindle disease viroid In humans Hepatitis D viroid enclosed in Hepatitis B virus capsid attacks liver cell 7 S RNA enzime or rybozyme (2006) 3 D structure of the full-length hammerhead ribozyme
Self-cleaving RNA enzime
Prions – mad cow disease Stanley Prusiner, Nobel Prize in Physiology/Medicine in 1997 Challenged dogma DNA RNA protein folding
Alzheimer’s disease Plaques are made up of small peptides, 39– 43 amino acids in length, called beta-amyloid (Aβ). Beta-amyloid is a fragment from a larger protein called amyloid precursor protein (APP)
Amyloid β protein loop. The broken red lines indicate a loop in the amyloid-B protein that enables it to attach to other proteins and form clumps that kill brain cells.
Towards a Pharmacophore for Amyloid PNAS 2011
Short peptides self-assemble to produce catalytic amyloids, Nature Chemistry 6 (2014) 303– 309 7 aminoacid short peptide Ac-IHIHIQI-CONH 2 with Zn ions aggregate in prion-like fibrils can catalyze its self-ansembling and chemical reactions Enzyme for a model ester, p-nitrophenyl acetate
All 12 aminoacid short peptides - 20 at power 12 Chemical substances recognition Specific binding HFTFPQQQPPRP peptide binds to napthalene 34 times better than to benzene, or anthracene
molecular recognition
From short peptides to nanofibers to macromolecular assemblies in biomedicine Yihua Loo, Shuguang Zhang, Charlotte A. E. Hauser, Biotechnology Advances 30 (2012) 593
Ho BK, Dill KA (2006) Folding Very Short Peptides Using Molecular Dynamics. PLo. S Comput Biol 2(4) 133 peptide 8 -mer peptides Amber 7 force field Mesostate [a] corresponds to a helical conformation, including the α helix, 310 helix, or π helix. Mesostate [b] corresponds to an extended β-strand conformation. Mesostate [l] corresponds to a left-handed helical conformation. 3^8 = 6, 561 conformers
Structure of the gas-phase glycine tripeptide Phys. Chem. Phys. , 2010, 12, 3463 B 3 LYP/6 -31 G(d) 20 most stable Gly–Gly conformers